| 查看: 2012 | 回复: 11 | |||
[求助]
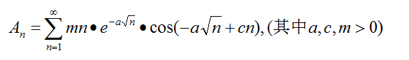
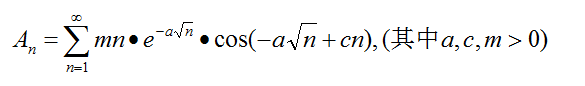
无穷正项级数求和
|
|||
|
|
|||
| 回帖支持 ( 显示支持度最高的前 50 名 ) | |||
feixiaolin荣誉版主 (文坛精英)
|
|||
|
2楼2015-06-14 07:42:54
|
|
||
hank612至尊木虫 (著名写手)
|
|||
![]() |
|||
|
4楼2015-06-14 11:59:49
|
|
||
| 普通回帖 | |||
|
3楼2015-06-14 09:12:45
|
|
||
|
5楼2015-06-14 15:52:25
|
|
||
feixiaolin荣誉版主 (文坛精英)
|
|||
|
6楼2015-06-14 20:15:43
|
|
||
|
7楼2015-06-15 10:11:41
|
|
||
feixiaolin荣誉版主 (文坛精英)
|
|||
|
8楼2015-06-15 10:45:36
|
|
||
|
9楼2015-06-19 08:41:22
|
|
||
|
|||
|
10楼2015-06-20 09:34:02
|
|
||













回复此楼

20