| 查看: 798 | 回复: 3 | |||
[求助]
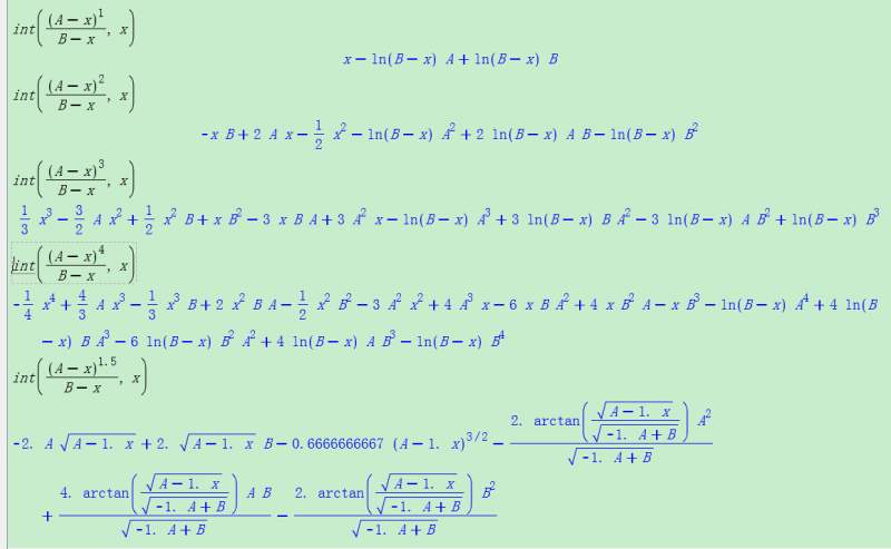
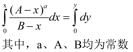
大家有没有积分学的比较好的?有个积分,请高手帮忙积分出来。 已有2人参与
|
科研辅助-咔咔小男人 |
» 猜你喜欢
材料工程085601,270求调剂
已经有24人回复
085404 293求调剂
已经有3人回复
调剂
已经有21人回复
复试调剂,一志愿郑州大学材料与化工289分
已经有15人回复
08工科求调剂290分
已经有12人回复
286求调剂
已经有16人回复
材料类284调剂
已经有24人回复
考研调剂-材料类-284
已经有14人回复
327求调剂
已经有11人回复
一志愿985初试354分生物调剂
已经有3人回复
» 本主题相关价值贴推荐,对您同样有帮助:
请教一个与sinc函数有关的积分该怎么求?
已经有3人回复
有关液相工作站的积分事件的着急疑问
已经有6人回复
关于椭圆积分的问题??求解
已经有9人回复
请教高斯公式,曲面积分和体积积分的转换。
已经有8人回复
高数积分的题目
已经有6人回复
一个涉及广义函数的积分
已经有8人回复
幂函数积分求解,求高手解决。。。万分感谢!
已经有6人回复
氢谱中积分时氢的数目对不上
已经有6人回复
急问由核磁H谱积分得出的H个数比例,和实际的H比例,误差多大范围可以接受?
已经有9人回复
大家有没有什么好方法学高等数学吗?
已经有24人回复
请问这个微分方程怎么解,右边积分函数中被积函数是不是1
已经有5人回复
求问, 关于定积分和不定积分 软件计算
已经有3人回复
一个积分,总是算不出来
已经有4人回复
数值积分方法求助
已经有6人回复
请问这个高斯积分公式的高斯系数和高斯点能笔算出来么?
已经有11人回复
请教一个积分用留数定理计算的问题
已经有15人回复
用matlab求一个积分。我求不出来啊
已经有3人回复
【求助】如何在Word里输入一个好看的积分符号?
已经有24人回复
【求助】以下积分怎么计算?【已解决】
已经有9人回复
【求助】只知道有限个函数值求积分
已经有10人回复

月只蓝
主管区长 (职业作家)
-

专家经验: +1059 - 模拟EPI: 1
- 应助: 1712 (讲师)
- 贵宾: 8.888
- 金币: 68129.7
- 散金: 1938
- 红花: 443
- 沙发: 4
- 帖子: 4373
- 在线: 3291.4小时
- 虫号: 1122189
- 注册: 2010-10-14
- 专业: 宇宙学
- 管辖: 计算模拟区

2楼2015-05-15 18:20:29
congtaiupc
金虫 (小有名气)
- 应助: 29 (小学生)
- 金币: 1912.4
- 散金: 20
- 红花: 5
- 帖子: 215
- 在线: 54.2小时
- 虫号: 3324935
- 注册: 2014-07-15
- 性别: GG
- 专业: 胶体与界面化学

3楼2015-05-15 19:15:45
4楼2015-05-16 09:50:59













回复此楼