版块导航
正在加载中...
客户端APP下载
论文辅导
申博辅导
登录
注册
帖子
帖子
用户
本版
应《网络安全法》要求,自2017年10月1日起,未进行实名认证将不得使用互联网跟帖服务。为保障您的帐号能够正常使用,请尽快对帐号进行手机号验证,感谢您的理解与支持!
24小时热门版块排行榜
>
论坛更新日志
(1962)
>
虫友互识
(153)
>
导师招生
(38)
>
论文道贺祈福
(21)
>
文献求助
(18)
>
考博
(16)
>
基金申请
(15)
>
休闲灌水
(15)
>
博后之家
(12)
>
教师之家
(10)
>
硕博家园
(10)
>
考研
(9)
>
论文投稿
(7)
>
公派出国
(6)
>
招聘信息布告栏
(5)
>
绿色求助(高悬赏)
(5)
小木虫论坛-学术科研互动平台
»
计算模拟区
»
计算模拟
»
软件使用与操作
»
幂函数积分求解,求高手解决。。。万分感谢!
7
1/1
返回列表
查看: 1542 | 回复: 6
只看楼主
@他人
存档
新回复提醒
(忽略)
收藏
在APP中查看
jiangtao9571
新虫
(正式写手)
应助: 4
(幼儿园)
金币: 232.4
散金: 1046
红花: 1
帖子: 452
在线: 236.2小时
虫号: 706996
注册: 2009-02-23
专业: 高分子材料结构与性能
[
求助
]
幂函数积分求解,求高手解决。。。万分感谢!
已有1人参与
见附件图片,急求解答。。
函数积分
回复此楼
» 猜你喜欢
深圳大学2026年秋博士招生-物理学-活性胶体方向-高永祥课题组
已经有18人回复
论物质与能量的统一模型及物理现象解释
已经有0人回复
物理学I论文润色/翻译怎么收费?
已经有51人回复
基于基元I统一理论的数学相关应用推导
已经有0人回复
基元I统一理论:宇宙本质、层级演化与修炼文明的本源规律
已经有1人回复
基元I理论下三大核心空间现象精准推导与细节解析
已经有0人回复
基于基元 I 统一理论的反重力理论推导
已经有0人回复
基于基元I统一理论的量子力学本源推导
已经有1人回复
推荐一款可以AI辅助写作的Latex编辑器SmartLatexEditor,超级好用,AI润色,全免费
已经有17人回复
【EI|Scopus 双检索】第六届智能机器人系统国际会议(ISoIRS 2026)
已经有0人回复
2026年第四届电动车与车辆工程国际会议(CEVVE 2026)
已经有0人回复
» 本主题相关价值贴推荐,对您同样有帮助:
求高手帮忙翻译下,关于阻燃剂的。。。万分感谢~~!
已经有2人回复
数学定积分无法求解,求高手
已经有9人回复
求高手帮我翻译一段外语,急用,万分感谢
已经有5人回复
特殊函数求解高手请进,这个类似于Gamma函数的定积分能否求解?
已经有12人回复
通过实验数据拟合,求解公式中的参数
已经有14人回复
AFLP (MSAP) 中双酶切后 预扩增条带很好,选扩增弥散了,求助高手指点啊!万分感谢!
已经有14人回复
FLUENT中耦合求解两个标量方程,求指点...
已经有5人回复
请高手帮我分析这个DSC曲线,详细一些,万分感谢
已经有17人回复
高手进来用matlab求解常微分方程,十分感谢!
已经有17人回复
电化学阻抗谱的分析,请高手指教,万分感谢!!
已经有32人回复
幂函数方程 求解
已经有9人回复
二元幂函数参数求解
已经有10人回复
投IET Electronics Letters 被退稿了,哪位高手指导一下,万分感谢!
已经有13人回复
1楼
2014-07-26 11:59:50
已阅
回复此楼
关注TA
给TA发消息
送TA红花
TA的回帖
月只蓝
主管区长
(职业作家)
专家经验: +1059
计算强帖: 8
应助: 1712
(讲师)
贵宾: 8.888
金币: 68124.7
散金: 1938
红花: 443
沙发: 4
帖子: 4373
在线: 3291.4小时
虫号: 1122189
注册: 2010-10-14
专业: 宇宙学
管辖:
计算模拟区
【答案】应助回帖
★ ★ ★ ★ ★ ★ ★ ★ ★ ★ ★ ★ ★ ★ ★
感谢参与,应助指数 +1
jiangtao9571: 金币+15,
★★★★★
最佳答案, 谢谢
2014-07-27 16:36:55
不在存在适用于所有n的解析解。
赞
一下
回复此楼
MATLAB、MS小问题、普通问题请发帖求助!时间精力有限,恕不接受无偿私信求助。
2楼
2014-07-26 13:45:18
已阅
回复此楼
关注TA
给TA发消息
送TA红花
TA的回帖
月只蓝
主管区长
(职业作家)
专家经验: +1059
计算强帖: 8
应助: 1712
(讲师)
贵宾: 8.888
金币: 68124.7
散金: 1938
红花: 443
沙发: 4
帖子: 4373
在线: 3291.4小时
虫号: 1122189
注册: 2010-10-14
专业: 宇宙学
管辖:
计算模拟区
【答案】应助回帖
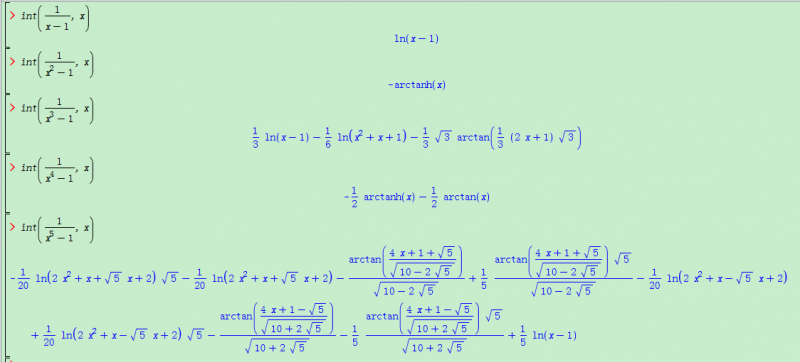
附图1给出了n=1-5的整数时的解析解。
附图1.png
赞
一下
回复此楼
MATLAB、MS小问题、普通问题请发帖求助!时间精力有限,恕不接受无偿私信求助。
3楼
2014-07-26 13:48:48
已阅
回复此楼
关注TA
给TA发消息
送TA红花
TA的回帖
jiangtao9571
新虫
(正式写手)
应助: 4
(幼儿园)
金币: 232.4
散金: 1046
红花: 1
帖子: 452
在线: 236.2小时
虫号: 706996
注册: 2009-02-23
专业: 高分子材料结构与性能
引用回帖:
3楼
:
Originally posted by
月只蓝
at 2014-07-26 13:48:48
附图1给出了n=1-5的整数时的解析解。
附图1.png
你好,那对于n不是整数是不是没法解了,有软件可以解吗。
赞
一下
回复此楼
4楼
2014-07-26 15:12:27
已阅
回复此楼
关注TA
给TA发消息
送TA红花
TA的回帖
月只蓝
主管区长
(职业作家)
专家经验: +1059
计算强帖: 8
应助: 1712
(讲师)
贵宾: 8.888
金币: 68124.7
散金: 1938
红花: 443
沙发: 4
帖子: 4373
在线: 3291.4小时
虫号: 1122189
注册: 2010-10-14
专业: 宇宙学
管辖:
计算模拟区
【答案】应助回帖
引用回帖:
4楼
:
Originally posted by
jiangtao9571
at 2014-07-26 15:12:27
你好,那对于n不是整数是不是没法解了,有软件可以解吗。...
3M软件都可以用:MATLAB, Mathematica, Maple。
可以告诉我需要求解的n的数值,我可以试试。
如果您需要的求得积分的具体数值,不管是n是正数还是小数,都可以求数值解的。
赞
一下
回复此楼
MATLAB、MS小问题、普通问题请发帖求助!时间精力有限,恕不接受无偿私信求助。
5楼
2014-07-26 15:46:31
已阅
回复此楼
关注TA
给TA发消息
送TA红花
TA的回帖
jiangtao9571
新虫
(正式写手)
应助: 4
(幼儿园)
金币: 232.4
散金: 1046
红花: 1
帖子: 452
在线: 236.2小时
虫号: 706996
注册: 2009-02-23
专业: 高分子材料结构与性能
引用回帖:
5楼
:
Originally posted by
月只蓝
at 2014-07-26 15:46:31
3M软件都可以用:MATLAB, Mathematica, Maple。
可以告诉我需要求解的n的数值,我可以试试。
如果您需要的求得积分的具体数值,不管是n是正数还是小数,都可以求数值解的。...
我的n是变化的,以0.65为例,帮我算算看看,能把Matlab的命令列出来吗万分感谢
赞
一下
回复此楼
6楼
2014-07-26 16:31:34
已阅
回复此楼
关注TA
给TA发消息
送TA红花
TA的回帖
月只蓝
主管区长
(职业作家)
专家经验: +1059
计算强帖: 8
应助: 1712
(讲师)
贵宾: 8.888
金币: 68124.7
散金: 1938
红花: 443
沙发: 4
帖子: 4373
在线: 3291.4小时
虫号: 1122189
注册: 2010-10-14
专业: 宇宙学
管辖:
计算模拟区
【答案】应助回帖
引用回帖:
6楼
:
Originally posted by
jiangtao9571
at 2014-07-26 16:31:34
我的n是变化的,以0.65为例,帮我算算看看,能把Matlab的命令列出来吗万分感谢...
没有解析解的。
代码:
>> syms x
>> int(1/(x^0.65-1),x)
赞
一下
回复此楼
MATLAB、MS小问题、普通问题请发帖求助!时间精力有限,恕不接受无偿私信求助。
7楼
2014-07-26 16:40:51
已阅
回复此楼
关注TA
给TA发消息
送TA红花
TA的回帖
相关版块跳转
第一性原理
量子化学
计算模拟
分子模拟
仿真模拟
程序语言
我要订阅楼主
jiangtao9571
的主题更新
7
1/1
返回列表
如果回帖内容含有宣传信息,请如实选中。否则帐号将被全论坛禁言
普通表情
龙
兔
虎
猫
百度网盘
|
360云盘
|
千易网盘
|
华为网盘
在新窗口页面中打开自己喜欢的网盘网站,将文件上传后,然后将下载链接复制到帖子内容中就可以了。
信息提示
关闭
请填处理意见
关闭
确定