| 查看: 1060 | 回复: 6 | ||
[求助]
matlab求解含中间变量的非线性方程组 已有1人参与
|
|
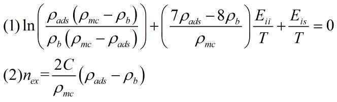
方程组如附件所示,其中: T=328.2; ρmc=1.0254; Eii=0.432*195.2; C=1.23; Eis=-1250; ρads为中间变量 求大神指点:1.如何求解想x和y;2.或者如何从方程(1)中把ρads表示成关于x的表达式。 1.jpg |
» 猜你喜欢
290求调剂
已经有3人回复
一志愿西南交通 专硕 材料355 本科双非 求调剂
已经有4人回复
295复试调剂
已经有6人回复
279分求调剂 一志愿211
已经有8人回复
工科材料085601 279求调剂
已经有8人回复
317求调剂
已经有8人回复
一志愿南昌大学,327分,材料与化工085600
已经有5人回复
274求调剂
已经有7人回复
317求调剂
已经有9人回复
招收调剂硕士
已经有11人回复
» 本主题相关价值贴推荐,对您同样有帮助:
matlab 如何求解多元二阶微分方程组
已经有7人回复
求助如何用matlab求非线性方程组的解
已经有8人回复
求助matlab高手指点:大型非线性方程组(牛顿拉佛森法)
已经有7人回复
MATLAB解非线性方程组
已经有9人回复
MATLAB求解五元非线性方程组,在线等
已经有7人回复
求用牛顿迭代法解非线性方程组的matlab程序
已经有4人回复
matlab非线性最小二乘法求解
已经有12人回复
非线性二阶微分方程组求解,matlab
已经有12人回复
matlab 非线性微分方程求解
已经有3人回复
matlab非线性方程组该如何编程。求助
已经有10人回复
用matlab求解一个非线性方程组的解
已经有4人回复
请教一个matlab求解非线性方程组的问题
已经有9人回复
非常简单!!MATLAB求解非线性一元方程
已经有5人回复
用matlab求解非线性方程组说无解,一定是方程组本身无解,还是有可能程序有问题呢?
已经有11人回复
matlab如何求解一个非线性微分方程组
已经有8人回复
求教matlab线性优化求最小值的问题
已经有7人回复
MATLAB求解非线性方程组
已经有5人回复
求Matlab解非线性方程代码
已经有12人回复
matlab求解非线性方程组,错误提示怎么解决
已经有5人回复
求助matlab---fsolve解非线性方程组
已经有6人回复
matlab求解非线性方程组
已经有16人回复
非线性方程组matlab拟合
已经有9人回复
求高人指点用matlab求解非线性方程组,解决了追加100金币;
已经有11人回复
matlab的fsove 命令求解非线性方程组
已经有6人回复
【求助】matlab求解非线性方程组,并画图处理。要求y,z是实数解!
已经有18人回复
【求助】求教matlab解非线性方程组
已经有9人回复
dingd
铁杆木虫 (职业作家)
- 应助: 1641 (讲师)
- 金币: 15037.3
- 散金: 101
- 红花: 234
- 帖子: 3410
- 在线: 1223.7小时
- 虫号: 291104
- 注册: 2006-10-28
2楼2015-04-09 14:36:36
|
ρb=x=[[0.0116 0.0240 0.0502 0.0804 0.1170 0.1608 0.2152 0.2972 0.4123 0.5257 0.6100]; 所以问题转化为在方程(1)中用matlab的solve求解ρads,然后将ρads带入方程(2)中求解nex就好了! matlab程序: >> T=328.2; rhomc=1.0254; Eii=0.432*195.2; C=1.23; Eis=-1250; x=[0.0116 0.0240 0.0502 0.0804 0.1170 0.1608 0.2152 0.2972 0.4123 0.5257 0.6100]; >> syms rhoads >> [rhoads]=solve(log(rhoads*(rhomc-x)/(x*(rhomc-rhoads)))+(7*rhoads-8*x)/rhomc*Eii/T+Eis/T==0) 运行后出现的提示是: ??? Error using ==> mupadmex Error in MuPAD command: Array sizes must match. Error in ==> sym.plus at 14 X = mupadmex('symobj::zip',A.s,B.s,'_plus'); 没找到问题出现在哪? |
3楼2015-04-09 15:50:39
dingd
铁杆木虫 (职业作家)
- 应助: 1641 (讲师)
- 金币: 15037.3
- 散金: 101
- 红花: 234
- 帖子: 3410
- 在线: 1223.7小时
- 虫号: 291104
- 注册: 2006-10-28
【答案】应助回帖
★ ★ ★ ★ ★ ★ ★ ★ ★ ★
xwl196: 金币+10, ★★★很有帮助 2015-04-09 16:40:44
xwl196: 金币+10, ★★★很有帮助 2015-04-09 16:40:44
|
Solve命令是求符号解,不一定有的。可以是数值解。 下面是用1stOpt求解,很简单: Ñ-»·3£êy x rhoads nex 0.0116 0.257851015773962 0.590771892728639 0.024 0.378121213925542 0.849559378054255 0.0502 0.520370658449439 1.1279693970993 0.0804 0.618855300376744 1.29178860827656 0.117 0.699976313181814 1.3985973575456 0.1608 0.769244989810605 1.45969833716997 0.2152 0.831497991791605 1.47853818978677 0.2972 0.896153280504329 1.43692712116311 0.4123 0.952359132344292 1.2956363034591 0.5257 0.984696573619486 1.10116205490924 0.61 0.999729281534294 0.934985403329788 |
4楼2015-04-09 16:05:54
|
你用的1stopt是哪个版本的,我用1stopt1.5运行的结果如下: "model nex" ====== 结果 ====== 迭代数: 16 计算用时(时:分:秒:毫秒): 00:00:00:50 计算中止原因: 达到收敛判定标准 优化算法: 麦夸特法(Levenberg-Marquardt) + 通用全局优化法 函数表达式 ln(rhoads*(1.0254-x)/(x*(1.0254-rhoads)))+(7*rhoads-8*x)/1.0254*84.3264/328.2+(-1250)/328.2 目标函数值: 0 rhoads: 0.485072231445505 x: 0.0421283782771957 ====== 计算结束 ====== 没有得到你运行的结果,是不是我用的1stopt版本太低的原因? |
5楼2015-04-09 16:29:27
dingd
铁杆木虫 (职业作家)
- 应助: 1641 (讲师)
- 金币: 15037.3
- 散金: 101
- 红花: 234
- 帖子: 3410
- 在线: 1223.7小时
- 虫号: 291104
- 注册: 2006-10-28
6楼2015-04-09 16:33:16
7楼2015-04-09 16:40:33













回复此楼
