| 查看: 413 | 回复: 0 | |
[求助]
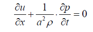
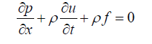
流体方程求解代码
|
|
|
|
|
|
找到一些相关的精华帖子,希望有用哦~
科研从小木虫开始,人人为我,我为人人
|













AP9OKQJ(3SPBX7E{VSR.png)
回复此楼
点击这里搜索更多相关资源