| ²é¿´: 1558 | »Ø¸´: 7 | ||
zhs4276689ľ³æ (ÕýʽдÊÖ)
|
[ÇóÖú]
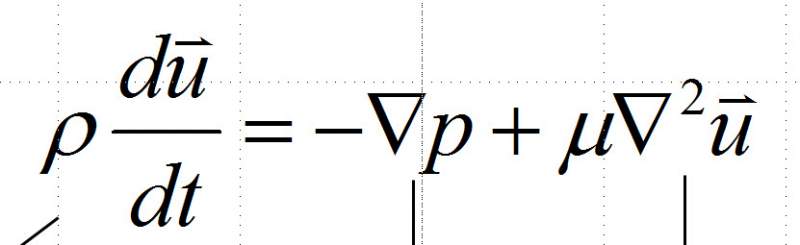
¹ØÓڹܵÀÁ÷¶¯µÄN-S·½³Ì£¬Ê¡ÂÔÁËÒ»ÏÇë½âÊÍһϣ¬Ð»Ð» ÒÑÓÐ1È˲ÎÓë
|
|
|
|
||
hawking533ľ³æ (СÓÐÃûÆø)
|
¡¾´ð°¸¡¿Ó¦Öú»ØÌû
¡ï ¡ï ¡ï ¡ï ¡ï ¡ï ¡ï ¡ï ¡ï ¡ï ¡ï ¡ï ¡ï ¡ï ¡ï ¡ï ¡ï ¡ï ¡ï ¡ï
¸Ðл²ÎÓ룬ӦÖúÖ¸Êý +1 zhs4276689: ½ð±Ò+5, ¡ï¡ï¡ïºÜÓаïÖú, лл 2014-03-23 07:19:45 zhs4276689: ½ð±Ò+15, ¡ï¡ï¡ï¡ï¡ï×î¼Ñ´ð°¸, лл°ï棬ºÜÈÈÐĵÄ˵ 2014-03-30 08:00:16
|
|
|
2Â¥2014-03-22 11:27:06
|
|
|
zhs4276689ľ³æ (ÕýʽдÊÖ)
|
||
|
3Â¥2014-03-23 07:20:25
|
|
|
hawking533ľ³æ (СÓÐÃûÆø)
|
|
|
|
4Â¥2014-03-23 14:51:55
|
|
|
zhs4276689ľ³æ (ÕýʽдÊÖ)
|
||
|
5Â¥2014-03-24 07:01:40
|
|
|
hawking533ľ³æ (СÓÐÃûÆø)
|
||
|
6Â¥2014-03-26 09:26:47
|
|
|
hawking533ľ³æ (СÓÐÃûÆø)
|
||
|
7Â¥2014-03-26 09:27:49
|
|
|
zhs4276689ľ³æ (ÕýʽдÊÖ)
|
||
|
8Â¥2014-03-27 06:48:32
|
|














»Ø¸´´ËÂ¥