版块导航
正在加载中...
客户端APP下载
论文辅导
申博辅导
登录
注册
帖子
帖子
用户
本版
应《网络安全法》要求,自2017年10月1日起,未进行实名认证将不得使用互联网跟帖服务。为保障您的帐号能够正常使用,请尽快对帐号进行手机号验证,感谢您的理解与支持!
24小时热门版块排行榜
>
论坛更新日志
(3086)
>
文献求助
(195)
>
导师招生
(167)
>
虫友互识
(154)
>
休闲灌水
(81)
>
硕博家园
(67)
>
考研
(67)
>
论文道贺祈福
(50)
>
考博
(41)
>
论文投稿
(40)
>
公派出国
(38)
>
博后之家
(36)
>
招聘信息布告栏
(28)
>
教师之家
(28)
>
外文书籍求助
(25)
>
基金申请
(24)
小木虫论坛-学术科研互动平台
»
专业学科区
»
数学
»
基础数学
»
这个公式是如何导出的?
6
1/1
返回列表
查看: 1119 | 回复: 5
只看楼主
@他人
存档
新回复提醒
(忽略)
收藏
在APP中查看
lrshan22
铁杆木虫
(正式写手)
应助: 11
(小学生)
金币: 5197.2
帖子: 344
在线: 168.6小时
虫号: 3056434
注册: 2014-03-15
性别: GG
专业: 岩土与基础工程
[
求助
]
这个公式是如何导出的?
已有2人参与
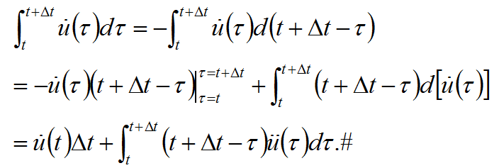
如题,请教各位大侠,下面的公式是如何导出的,最好稍微详细点的步骤,多谢多谢~~
回复此楼
» 猜你喜欢
天津大学招2026.09的博士生,欢迎大家推荐交流(博导是本人)
已经有3人回复
有时候真觉得大城市人没有县城人甚至个体户幸福
已经有6人回复
面上项目申报
已经有3人回复
酰胺脱乙酰基
已经有9人回复
CSC & MSCA 博洛尼亚大学能源材料课题组博士/博士后招生|MSCA经费充足、排名优
已经有5人回复
博士延得我,科研能力直往上蹿
已经有7人回复
退学或坚持读
已经有27人回复
面上基金申报没有其他的参与者成吗
已经有5人回复
遇见不省心的家人很难过
已经有22人回复
» 本主题相关价值贴推荐,对您同样有帮助:
EES 投稿,生成不了PDF,提示error,该怎么办?
已经有5人回复
如何把fluent里custom field function里编写的公式计算结果导入tecplot?
已经有5人回复
求助如何推导图片中的公式。
已经有3人回复
交流阻抗谱如何求阻抗?电导率通过arrhenius公式如何求活化能?
已经有12人回复
如何从达西公式推导到膜阻力计算公式
已经有8人回复
物理学摩擦力欧拉公式是怎么推导出来的?
已经有3人回复
雷诺数物理意义的公式推导
已经有5人回复
求助高斯输出文件中坐标系怎么定义的?
已经有11人回复
齿轮跨棒距测量中的量棒直径的公式是如何推导的?有哪位大侠讲解一下,谢谢啦
已经有7人回复
求导和第二换元积分成立条件
已经有16人回复
上传的Manuscript里的Mathtype公式生成PDF时显示错误
已经有4人回复
找人帮忙生成tab表
已经有10人回复
投稿系统生成的PDF公式很模糊
已经有18人回复
量子物理狭义相对论动量式的理论根据缺失性探讨(原讨论贴题目已改为此)
已经有129人回复
WORD07编辑的公式Elsevier生成PDF后不识别
已经有3人回复
origin拟合出的不同曲线 如何在一个图中导出 ,谢了
已经有9人回复
投稿时公式出现乱码
已经有13人回复
物理化学公式推导过程如何讲呢
已经有5人回复
origin导出EPS图中的字很粗
已经有10人回复
非晶态XRD分析和谢乐公式的问题~
已经有20人回复
有人把南大《物化》所有公式推导过吗?【请斑竹把本标题设为高亮方便交流谢谢!】
已经有32人回复
【求助】用色谱校正因子求转化率的公式
已经有15人回复
【求助】矩阵导数【已解决】
已经有16人回复
【求助】这个怪异公式是如何推导出来的?
已经有9人回复
1楼
2015-01-27 15:48:56
已阅
回复此楼
关注TA
给TA发消息
送TA红花
TA的回帖
终之太刀—晓
铁杆木虫
(著名写手)
数学爱好者
数学EPI: 7
应助: 282
(大学生)
贵宾: 0.018
金币: 2934.2
散金: 5589
红花: 53
帖子: 1809
在线: 401.6小时
虫号: 3469007
注册: 2014-10-12
性别:
MM
专业: 偏微分方程
【答案】应助回帖
★ ★ ★ ★ ★ ★ ★ ★
感谢参与,应助指数 +1
lrshan22: 金币+8,
★★★★★
最佳答案, 灰常感谢
2015-01-27 19:59:07
RT:
截图20150127174417.png
赞
一下
(1人)
回复此楼
PreferenceforMathematics
2楼
2015-01-27 17:44:46
已阅
回复此楼
关注TA
给TA发消息
送TA红花
TA的回帖
wurongjun
专家顾问
(职业作家)
专家经验: +831
数学EPI: 9
应助: 791
(博后)
贵宾: 0.308
金币: 24609
散金: 310
红花: 75
帖子: 3004
在线: 881.2小时
虫号: 1368482
注册: 2011-08-14
性别: GG
专业: 计算数学与科学工程计算
管辖:
数学
【答案】应助回帖
★
感谢参与,应助指数 +1
lrshan22: 金币+1,
★
有帮助, 谢谢参与
2015-01-27 19:59:26
公式似乎有问题啊?
左端可以直接给出结果!为什么搞出右端项!而且容易验证不成立!
赞
一下
回复此楼
善恶到头终有报,人间正道是沧桑.
3楼
2015-01-27 17:45:17
已阅
回复此楼
关注TA
给TA发消息
送TA红花
TA的回帖
weft
木虫
(正式写手)
应助: 125
(高中生)
金币: 2557.3
红花: 13
帖子: 301
在线: 147.4小时
虫号: 2161851
注册: 2012-12-02
专业: 文化学
这是一个由滥用数学记号导致的混淆,在定积分中尤其典型,2楼已经给出了正确的纠正.
赞
一下
回复此楼
4楼
2015-01-27 19:01:05
已阅
回复此楼
关注TA
给TA发消息
送TA红花
TA的回帖
lrshan22
铁杆木虫
(正式写手)
应助: 11
(小学生)
金币: 5197.2
帖子: 344
在线: 168.6小时
虫号: 3056434
注册: 2014-03-15
性别: GG
专业: 岩土与基础工程
引用回帖:
4楼
:
Originally posted by
weft
at 2015-01-27 19:01:05
这是一个由滥用数学记号导致的混淆,在定积分中尤其典型,2楼已经给出了正确的纠正.
谢谢你的参与,本想给你金币的,(*^__^*) 嘻嘻……,可是给不了............
赞
一下
回复此楼
5楼
2015-01-27 20:01:04
已阅
回复此楼
关注TA
给TA发消息
送TA红花
TA的回帖
weft
木虫
(正式写手)
应助: 125
(高中生)
金币: 2557.3
红花: 13
帖子: 301
在线: 147.4小时
虫号: 2161851
注册: 2012-12-02
专业: 文化学
引用回帖:
5楼
:
Originally posted by
lrshan22
at 2015-01-27 20:01:04
谢谢你的参与,本想给你金币的,(*^__^*) 嘻嘻……,可是给不了...............
金币就不必了,重在参与.
赞
一下
回复此楼
6楼
2015-01-27 20:18:21
已阅
回复此楼
关注TA
给TA发消息
送TA红花
TA的回帖
相关版块跳转
数理科学综合
机械
物理
数学
农林
食品
地学
能源
信息科学
土木建筑
航空航天
转基因
我要订阅楼主
lrshan22
的主题更新
6
1/1
返回列表
如果回帖内容含有宣传信息,请如实选中。否则帐号将被全论坛禁言
普通表情
龙
兔
虎
猫
百度网盘
|
360云盘
|
千易网盘
|
华为网盘
在新窗口页面中打开自己喜欢的网盘网站,将文件上传后,然后将下载链接复制到帖子内容中就可以了。
信息提示
关闭
请填处理意见
关闭
确定