| 查看: 1288 | 回复: 15 | |||
xiaohai021金虫 (小有名气)
|
[求助]
[懂门道的请进来看看]关于积分变换的疑问已有3人参与
|
|
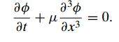
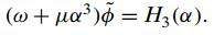
Fourier变换、Laplace变换的定义中e的指数部分均有负号,但在一些工程应用中Laplace变换的定义中e的指数部分没有负号。 疑问有以下两个: 1、Laplace变换的定义中e的指数部分没有负号,这种定义使得积分无界(例如f(t)=1时),那么这种定义方式存在的意义是什么?为何一些文献会采用这种定义? 2、一些书籍在对微分方程进行积分变换时,一部分采用Fourier变换,一部分采用Laplace变换,这样做是正确的吗? |
» 猜你喜欢
寻求一种能扛住强氧化性腐蚀性的容器密封件
已经有7人回复
到新单位后,换了新的研究方向,没有团队,持续积累2区以上论文,能申请到面上吗
已经有8人回复
申请2026年博士
已经有6人回复
请问哪里可以有青B申请的本子可以借鉴一下。
已经有5人回复
天津工业大学郑柳春团队欢迎化学化工、高分子化学或有机合成方向的博士生和硕士生加入
已经有5人回复
2025冷门绝学什么时候出结果
已经有7人回复
请问有评职称,把科研教学业绩算分排序的高校吗
已经有6人回复
Bioresource Technology期刊,第一次返修的时候被退回好几次了
已经有7人回复
请问下大家为什么这个铃木偶联几乎不反应呢
已经有5人回复
康复大学泰山学者周祺惠团队招收博士研究生
已经有6人回复
» 本主题相关价值贴推荐,对您同样有帮助:
也不知道算什么类型的数学问题。。。不过想求助一下
已经有14人回复
求助一个积分转换问题+把ln换算到积分号里面
已经有4人回复
反拉普拉斯变换积分先后问题
已经有7人回复
二重积分极坐标变换下积分限问题
已经有4人回复
请教大家一个反卷积的问题~~帮忙推导或者matlab编程计算~~
已经有5人回复
vasp算法的一些基础问题
已经有10人回复
请教Laplace变换问题
已经有8人回复
【课后习题】复变函数及积分变换(西安交大,第四版)
已经有39人回复
求助:西格玛求和公式推导问题
已经有19人回复
【求助】数学积分
已经有29人回复
【分享】《复变函数与积分变换-西北工业大学》
已经有5人回复
匿名
用户注销 (职业作家)
Matlab专家
- 应助: 223 (大学生)
- 金币: 2891.3
- 散金: 5302
- 红花: 59
- 沙发: 10
- 帖子: 3308
- 在线: 945小时
- 虫号: 0
- 注册: 2012-05-01
- 性别: GG
- 专业: 力学
2楼2015-01-19 19:18:42
feixiaolin
荣誉版主 (文坛精英)
-

专家经验: +518 - 应助: 942 (博后)
- 贵宾: 1.275
- 金币: 2930
- 散金: 58785
- 红花: 532
- 沙发: 11
- 帖子: 24215
- 在线: 2601.8小时
- 虫号: 2139575
- 注册: 2012-11-21
- 专业: 光学信息获取与处理
- 管辖: 数学
3楼2015-01-19 19:26:01
xiaohai021
金虫 (小有名气)
feixiaolin: 屏蔽内容, 楼下重发 2015-01-20 16:54:10
|
本帖内容被屏蔽 |
4楼2015-01-20 16:07:38
xiaohai021
金虫 (小有名气)
- 应助: 1 (幼儿园)
- 金币: 1141.2
- 散金: 160
- 红花: 1
- 帖子: 129
- 在线: 93.3小时
- 虫号: 2724815
- 注册: 2013-10-14
- 性别: GG
- 专业: 工程热物理相关交叉领域
5楼2015-01-20 16:13:14
feixiaolin
荣誉版主 (文坛精英)
-

专家经验: +518 - 应助: 942 (博后)
- 贵宾: 1.275
- 金币: 2930
- 散金: 58785
- 红花: 532
- 沙发: 11
- 帖子: 24215
- 在线: 2601.8小时
- 虫号: 2139575
- 注册: 2012-11-21
- 专业: 光学信息获取与处理
- 管辖: 数学
6楼2015-01-20 16:53:53
终之太刀—晓
铁杆木虫 (著名写手)
数学爱好者
- 数学EPI: 7
- 应助: 282 (大学生)
- 贵宾: 0.018
- 金币: 2934.2
- 散金: 5589
- 红花: 53
- 帖子: 1809
- 在线: 401.6小时
- 虫号: 3469007
- 注册: 2014-10-12
- 性别: MM
- 专业: 偏微分方程

7楼2015-01-20 20:31:53
feixiaolin
荣誉版主 (文坛精英)
-

专家经验: +518 - 应助: 942 (博后)
- 贵宾: 1.275
- 金币: 2930
- 散金: 58785
- 红花: 532
- 沙发: 11
- 帖子: 24215
- 在线: 2601.8小时
- 虫号: 2139575
- 注册: 2012-11-21
- 专业: 光学信息获取与处理
- 管辖: 数学
8楼2015-01-20 20:50:14
终之太刀—晓
铁杆木虫 (著名写手)
数学爱好者
- 数学EPI: 7
- 应助: 282 (大学生)
- 贵宾: 0.018
- 金币: 2934.2
- 散金: 5589
- 红花: 53
- 帖子: 1809
- 在线: 401.6小时
- 虫号: 3469007
- 注册: 2014-10-12
- 性别: MM
- 专业: 偏微分方程

9楼2015-01-20 23:50:57
zaq123321
专家顾问 (著名写手)
-

专家经验: +342 - 数学EPI: 6
- 应助: 298 (大学生)
- 贵宾: 0.247
- 金币: 11336.3
- 红花: 29
- 帖子: 1221
- 在线: 538.8小时
- 虫号: 405284
- 注册: 2007-06-17
- 性别: MM
- 专业: 生物大分子结构与功能
- 管辖: 数学

10楼2015-01-21 08:48:52













回复此楼