| 查看: 607 | 回复: 1 | |||
xiashaoyan新虫 (正式写手)
|
[求助]
求助将一个求解误差的表达式写成方程组的集合形式 已有1人参与
|
|
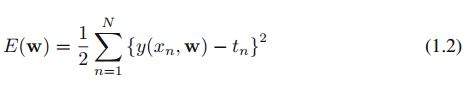
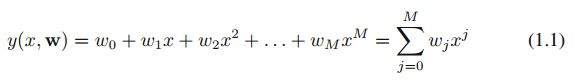
问题是Pattern-Recognition-and-Machine-Learning-Christophe-M-Bishop 第一章里面的练习题,现在问题描述如下:下面图片问题里面1.2题,图片里面的1.1题我已经知道怎么证明了,但是将1.2中问题将公式1.4写成集合,实在想不出来,求数学前辈指教! 问题.JPG 公式1.1.JPG 公式1.2.JPG 公式1.4.JPG |
» 猜你喜欢
» 本主题相关价值贴推荐,对您同样有帮助:
请教一个含有误差函数的非线性方程组的数值求解方法
已经有3人回复
请教一个非线性方程非线性项转化为多项式的方法
已经有31人回复
求助一个误差棒图的分析。正负误差线为什么不同
已经有6人回复
求助一个超定方程组最小二乘解问题
已经有5人回复
求教一个含指数函数定积分问题
已经有7人回复
求助:非线性方程组的求解(郁闷中)
已经有26人回复
solve解超越方程少了一个解
已经有3人回复
如何求解带有固定参数的超定方程组?
已经有21人回复
matlab求助,求解一个积分函数
已经有3人回复
求解一个二阶偏微分方程~~有结果,但是不知道中间过程(完美解决者答谢100¥)~
已经有4人回复
求Matlab高手解决线性方程组的迭代求解问题
已经有17人回复
非线性分析中的ansys跟踪显示
已经有83人回复
急切求助!一个mathematica求解一个简单一元非线性方程的问题
已经有4人回复
请教大虾,一个分段函数的 matlab 程序实现
已经有4人回复
现在做到高斯函数的误差函数一步,又是一个方程不知道用matlab怎么写
已经有14人回复
请问如何求解二元一阶微分方程组
已经有24人回复
如何在CFTOOL中设置一个函数
已经有3人回复
【公式拟合问题】如何拟合下面这样的一个公式,多谢大牛。
已经有6人回复
【求助】同样一个问题用matlab和fortran编程计算,结果相差比较大,不知道为什么
已经有4人回复
【求助】如何解一个含定积分的方程组
已经有9人回复
【求助】一个经典的数模问题求解!!!!急
已经有7人回复
zaq123321
专家顾问 (著名写手)
-

专家经验: +343 - 数学EPI: 6
- 应助: 298 (大学生)
- 贵宾: 0.247
- 金币: 10786.8
- 散金: 215
- 红花: 29
- 帖子: 1223
- 在线: 539.9小时
- 虫号: 405284
- 注册: 2007-06-17
- 性别: MM
- 专业: 生物大分子结构与功能
- 管辖: 数学

2楼2015-01-16 08:11:47













回复此楼