版块导航
正在加载中...
客户端APP下载
论文辅导
申博辅导
登录
注册
帖子
帖子
用户
本版
应《网络安全法》要求,自2017年10月1日起,未进行实名认证将不得使用互联网跟帖服务。为保障您的帐号能够正常使用,请尽快对帐号进行手机号验证,感谢您的理解与支持!
24小时热门版块排行榜
>
论坛更新日志
(662)
>
虫友互识
(58)
>
休闲灌水
(36)
>
论文投稿
(24)
>
导师招生
(23)
>
博后之家
(19)
>
硕博家园
(18)
>
考博
(18)
>
公派出国
(17)
>
基金申请
(16)
>
教师之家
(13)
>
考研
(12)
>
论文道贺祈福
(6)
>
招聘信息布告栏
(4)
>
留学生活
(4)
>
找工作
(4)
小木虫论坛-学术科研互动平台
»
学术交流区
»
论文投稿
»
交流
»
求助一个误差棒图的分析。正负误差线为什么不同
7
1/1
返回列表
查看: 10826 | 回复: 6
只看楼主
@他人
存档
新回复提醒
(忽略)
收藏
在APP中查看
潇潇198732
新虫
(初入文坛)
应助: 0
(幼儿园)
金币: 57.5
帖子: 15
在线: 2.4小时
虫号: 1545578
注册: 2011-12-21
专业: 急重症医学/创伤/烧伤/整形
[
求助
]
求助一个误差棒图的分析。正负误差线为什么不同
已有5人参与
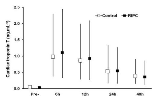
这是从一篇论文上截取的图。上下的竖线是不是误差线?如果是的话,为什么正负误差线不一样?如果不是,那这幅图该怎么分析呢?
求助各位大神
1.jpg
回复此楼
» 猜你喜欢
请问有评职称,把科研教学业绩算分排序的高校吗
已经有6人回复
2025冷门绝学什么时候出结果
已经有6人回复
Bioresource Technology期刊,第一次返修的时候被退回好几次了
已经有7人回复
真诚求助:手里的省社科项目结项要求主持人一篇中文核心,有什么渠道能发核心吗
已经有8人回复
寻求一种能扛住强氧化性腐蚀性的容器密封件
已经有5人回复
请问哪里可以有青B申请的本子可以借鉴一下。
已经有4人回复
请问下大家为什么这个铃木偶联几乎不反应呢
已经有5人回复
天津工业大学郑柳春团队欢迎化学化工、高分子化学或有机合成方向的博士生和硕士生加入
已经有4人回复
康复大学泰山学者周祺惠团队招收博士研究生
已经有6人回复
AI论文写作工具:是科研加速器还是学术作弊器?
已经有3人回复
» 本主题相关价值贴推荐,对您同样有帮助:
求助柱形图误差线是stdev,还是需要除以2?
已经有9人回复
怎么做正负值不同的误差线啊啊啊啊啊啊 sigmaplot 10.0
已经有9人回复
关于误差棒,置信区间的问题。谢谢
已经有21人回复
弱问origin怎么画带RSD(相对标准偏差)的误差线
已经有6人回复
怎样计算误差线里的误差值
已经有3人回复
如何制作误差棒?紧急求助!!
已经有6人回复
oringin误差线都加在一个柱子上了,怎么办?
已经有1人回复
做几个样算出来的平均值和标准偏差才能被人接受?
已经有5人回复
求助这样的柱形图是怎么做的?
已经有14人回复
oringin 误差条或者误差线怎么绘制啊? 急求啊。。。。
已经有5人回复
误差bar 怎么算
已经有4人回复
紧急求助!我的RT-PCR数据怎么做成可以发文章的图?
已经有26人回复
excel 作图 误差限
已经有4人回复
怎么用origin 7.5 画error bar?
已经有1人回复
数据后面的正负零点几是怎么算出来的,代表什么误差吗?
已经有6人回复
请问这个图里的误差线(误差棒)是怎么填加的啊?
已经有13人回复
请教关于画误差线的问题(误差线不显示)
已经有10人回复
【求助】如何用excel 2007添加图表数据误差线error bar【有效期至2011.6.30】
已经有3人回复
【求助】XY轴图中的误差线
已经有4人回复
1楼
2014-08-06 14:35:56
已阅
回复此楼
关注TA
给TA发消息
送TA红花
TA的回帖
starfriend
金虫
(正式写手)
应助: 29
(小学生)
金币: 3655.4
红花: 5
帖子: 464
在线: 529.2小时
虫号: 647997
注册: 2008-11-07
专业: 环境工程
【答案】应助回帖
感谢参与,应助指数 +1
我猜是类似 最大值,平均值,和最小值 之类的。
赞
一下
回复此楼
2楼
2014-08-06 16:09:44
已阅
回复此楼
关注TA
给TA发消息
送TA红花
TA的回帖
engp8908
银虫
(正式写手)
应助: 100
(初中生)
金币: 2336.2
红花: 5
帖子: 533
在线: 179.5小时
虫号: 3329017
注册: 2014-07-18
专业: 分离过程
【答案】应助回帖
感谢参与,应助指数 +1
同意2楼,是误差线,根据偏差的大小进行分析就好了。前几个点的比较大,可能属于敏感区间神马的。
赞
一下
回复此楼
3楼
2014-08-06 17:37:12
已阅
回复此楼
关注TA
给TA发消息
送TA红花
TA的回帖
milletpu
金虫
(正式写手)
应助: 39
(小学生)
金币: 811.5
散金: 325
红花: 4
帖子: 474
在线: 161.1小时
虫号: 3180968
注册: 2014-05-05
性别: GG
专业: 计算机应用技术
【答案】应助回帖
感谢参与,应助指数 +1
同楼主,每次看见errorbar都不知道怎么分析。
我自己的概率统计没学好啊,刚及格。
赞
一下
回复此楼
4楼
2014-08-06 17:54:32
已阅
回复此楼
关注TA
给TA发消息
送TA红花
TA的回帖
shiningf
禁虫
(正式写手)
本帖内容被屏蔽
5楼
2015-05-18 09:25:39
已阅
回复此楼
关注TA
给TA发消息
送TA红花
TA的回帖
love_swj
银虫
(正式写手)
应助: 3
(幼儿园)
金币: 2533.8
散金: 1000
帖子: 800
在线: 404.1小时
虫号: 1489482
注册: 2011-11-13
性别: GG
专业: 无机非金属基复合材料
【答案】应助回帖
请参考以下这篇帖子,写的很详细,不是楼上所说的最大最小值的关系~
http://muchong.com/bbs/viewthread.php?tid=6145215
赞
一下
回复此楼
fighting
6楼
2015-05-28 21:37:57
已阅
回复此楼
关注TA
给TA发消息
送TA红花
TA的回帖
娜就是爱
新虫
(初入文坛)
应助: 0
(幼儿园)
金币: 21.1
帖子: 27
在线: 8.5小时
虫号: 3775868
注册: 2015-03-30
性别: GG
专业: 药剂学
引用回帖:
6楼
:
Originally posted by
love_swj
at 2015-05-28 21:37:57
请参考以下这篇帖子,写的很详细,不是楼上所说的最大最小值的关系~http://muchong.com/bbs/viewthread.php?tid=6145215
那篇帖子里面还是没有说明上下误差线长度不一样的情况啊?
置信区间的话也是上下长度一样的
发自小木虫Android客户端
赞
一下
回复此楼
7楼
2016-08-06 12:14:40
已阅
回复此楼
关注TA
给TA发消息
送TA红花
TA的回帖
相关版块跳转
论文投稿
SCI期刊点评
中文期刊点评
论文道贺祈福
论文翻译
基金申请
学术会议
会议与征稿布告栏
我要订阅楼主
潇潇198732
的主题更新
7
1/1
返回列表
如果回帖内容含有宣传信息,请如实选中。否则帐号将被全论坛禁言
普通表情
龙
兔
虎
猫
百度网盘
|
360云盘
|
千易网盘
|
华为网盘
在新窗口页面中打开自己喜欢的网盘网站,将文件上传后,然后将下载链接复制到帖子内容中就可以了。
信息提示
关闭
请填处理意见
关闭
确定