| 查看: 1430 | 回复: 8 | |||
[求助]
氮气吸附曲线 已有2人参与
|
|
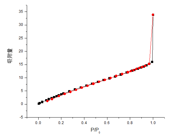
帮忙分析下,这2个氮吸附曲线是属于是Ⅴ型吗?H1型的滞后环吗? 毕设论文急需数据分析,承蒙各位大虫相 是全部大孔吗? 产生的原因会有哪些? 基体是ZSM-5分子筛,这是2种包裹了粘稠的离子液体之后的吸附图 2 (1).png 2 (2).png |
» 本帖已获得的红花(最新10朵)
» 本帖@通知
» 猜你喜欢
26年材料/化学相关专业博士研究生招生 温州大学化学与材料工程学院(26年秋季入学)
已经有0人回复
0703调剂
已经有2人回复
化学工程及工业化学论文润色/翻译怎么收费?
已经有64人回复
085602化学工程求调剂。
已经有4人回复
2026年博士研究生招生
已经有1人回复
304求调剂
已经有6人回复
国家工程物理交叉科学研究中心招收凝聚态物理及相关专业硕士研究生一名
已经有15人回复
数二英语一的 理工科 求调剂
已经有0人回复
大连工业大学招硕士研究生
已经有0人回复
大连工业大学招硕士研究生
已经有0人回复
数二 英语一,求调剂,本科学校福建农林大学
已经有1人回复
» 本主题相关商家推荐: (我也要在这里推广)
» 本主题相关价值贴推荐,对您同样有帮助:
氮气吸附脱附分析
已经有5人回复
大家见过这样的二氧化碳吸附曲线吗?欢迎各方朋友参与讨论
已经有11人回复
求助,氮气吸脱附曲线代表类型
已经有9人回复
求助 氮气吸附数据的处理。
已经有5人回复
请大家帮我分析一下这氮气吸附脱附及孔径分布图
已经有3人回复
两条不同的氮气吸附脱附曲线,求帮助~~
已经有18人回复
氮气吸附脱附等温线分析 求助,,,
已经有7人回复
求助气体吸附曲线解析
已经有7人回复
吸附脱附曲线不能闭合是怎么回事?
已经有7人回复
求各位大虾对我做的氮气吸附曲线分析一下,万分感谢!
已经有11人回复
求助氮气吸脱曲线给出的t-plot数据怎么解释?
已经有11人回复
请问孔径分布采用氮气吸附哪一组数据做出的图
已经有13人回复
氮气吸附脱附曲线,求帮助~~
已经有18人回复
请教碳材料的氮气吸附脱附曲线分析!请各位大神不吝赐教!~~
已经有5人回复
求助,氮气吸附脱附曲线及孔径分布图
已经有5人回复
氮气吸附测试结果的分析
已经有11人回复
这个氮气吸附脱附曲线是属于哪一类
已经有9人回复
氮气吸附脱附曲线分析
已经有14人回复
【求助】氮气吸脱附曲线不闭合
已经有15人回复
【求助】请教关于氮气吸附等温线的问题?
已经有13人回复
【求助】氮吸附求助
已经有13人回复
【求助】氮吸附吸附线与孔径大小的关系
已经有16人回复
zyhou
专家顾问 (文坛精英)
-

专家经验: +3748 - C-EPI: 74
- 应助: 4970 (副教授)
- 贵宾: 2.947
- 金币: 39390.7
- 散金: 14624
- 红花: 415
- 帖子: 10637
- 在线: 2546.4小时
- 虫号: 373328
- 注册: 2007-05-16
- 性别: GG
- 专业: 催化化学
- 管辖: 催化
2楼2014-12-24 19:40:17
送红花一朵 |
嗯嗯,确实ZSM-5载体做测试出来总比表面积是BET Surface Area249.4777m2/g,总孔体积0.156528cm3/g,微孔体积0.114457cm3/g,平均孔径2.50969nm,但是负载之后,上图1数据就变成总比表面积是25.4757m2/g,总孔体积0.052331cm3/g,微孔体积-0.010946cm3/g(负值),平均孔径8.21667nm; 上图2数据就变成总比表面积是15.1674m2/g,总孔体积0.034282cm3/g,微孔体积-0.005336cm3/g(负值),平均孔径9.9439 nm。 数据变化很大,微孔体积都为负值,但是还是有总孔体积的数据的,那该怎么解?还有突然上升的滞后环怎么解释?孔体积变化可以说是因为离子液体的包裹,堵塞孔道的影响吗?是不是不能说明它包裹在孔道内还是表面? |
3楼2014-12-25 08:47:37
送红花一朵 |
嗯嗯,确实ZSM-5载体做测试出来总比表面积是BET Surface Area249.4777m2/g,总孔体积0.156528cm3/g,微孔体积0.114457cm3/g,平均孔径2.50969nm,但是负载之后,上图1数据就变成总比表面积是25.4757m2/g,总孔体积0.052331cm3/g,微孔体积-0.010946cm3/g(负值),平均孔径8.21667nm; 上图2数据就变成总比表面积是15.1674m2/g,总孔体积0.034282cm3/g,微孔体积-0.005336cm3/g(负值),平均孔径9.9439 nm。 数据变化很大,微孔体积都为负值,但是还是有总孔体积的数据的,那该怎么解?还有突然上升的滞后环怎么解释?孔体积变化可以说是因为离子液体的包裹,堵塞孔道的影响吗?是不是不能说明它包裹在孔道内还是表面? |
4楼2014-12-25 08:48:28
送红花一朵 |
嗯嗯,确实ZSM-5载体做测试出来总比表面积是BET Surface Area249.4777m2/g,总孔体积0.156528cm3/g,微孔体积0.114457cm3/g,平均孔径2.50969nm,但是负载之后,上图1数据就变成总比表面积是25.4757m2/g,总孔体积0.052331cm3/g,微孔体积-0.010946cm3/g(负值),平均孔径8.21667nm; 上图2数据就变成总比表面积是15.1674m2/g,总孔体积0.034282cm3/g,微孔体积-0.005336cm3/g(负值),平均孔径9.9439 nm。 数据变化很大,微孔体积都为负值,但是还是有总孔体积的数据的,那该怎么解?还有突然上升的滞后环怎么解释?孔体积变化可以说是因为离子液体的包裹,堵塞孔道的影响吗?是不是不能说明它包裹在孔道内还是表面? |
5楼2014-12-25 08:48:35
【答案】应助回帖
★ ★ ★ ★ ★ ★ ★ ★ ★ ★ ★ ★ ★ ★ ★ ★ ★ ★ ★ ★ ★ ★ ★ ★ ★ ★ ★ ★ ★ ★ ★ ★ ★ ★ ★ ★ ★
感谢参与,应助指数 +1
fatewu: 金币+2, 谢谢回帖,欢迎常来催化交流~ 2014-12-26 10:04:48
高梁粥: 金币+10, ★★★很有帮助 2014-12-26 11:05:59
高梁粥: 金币+25, ★★★★★最佳答案 2014-12-26 17:35:51
感谢参与,应助指数 +1
fatewu: 金币+2, 谢谢回帖,欢迎常来催化交流~ 2014-12-26 10:04:48
高梁粥: 金币+10, ★★★很有帮助 2014-12-26 11:05:59
高梁粥: 金币+25, ★★★★★最佳答案 2014-12-26 17:35:51
| 首先,个人感觉ZSM中的大部分孔(绝大部分是微孔,因为图中0.95后还有一个直线上升,所以存在很多大孔)已经基本被堵塞了,所以导致比表面小,等温曲线不明确等。突然上升的滞后环就是存在大孔所造成,微孔(-0.35区也不明显)部分也不明显,暗示材料微孔基本被堵住了,剩下存在大量大孔;第二你说微孔体积为负值,这个可以认为调整的,数据可信度不高(微孔体积,我也碰到过负值的),找老师调正了;我感觉孔变化,不是堵塞,就是负载在zsm孔上。 |
» 本帖已获得的红花(最新10朵)

6楼2014-12-25 20:43:30
送红花一朵 |
嗯嗯,那是不是就不能按照IUPAC 分类了?H几滞后环? 再请教一下,这几个数据能说明什么问题?DFT处理得到的zsm-5分子筛的Average Particle Size粒度24.0502 nm,微孔孔径0.4518 nm;负载之后,上图1数据变为Average Particle Size粒度235.5183 nm,微孔孔径1.7835 nm;上图2数据变为Average Particle Size粒度395.5851 nm,微孔孔径1.5408 nm。 看贴里很多人说ZSM-5的孔径要取DFT或HK的算法,是吗?那负载之后的呢,在你说的只有大孔存在的时候,孔径怎么选? |
7楼2014-12-25 22:09:06
上官小仙
木虫 (著名写手)
前世今生
- C-EPI: 2
- 应助: 291 (大学生)
- 贵宾: 0.038
- 金币: 4190.1
- 散金: 2000
- 红花: 94
- 帖子: 1334
- 在线: 187.1小时
- 虫号: 1730712
- 注册: 2012-04-01
- 性别: GG
- 专业: 电机与电器

8楼2014-12-26 11:38:17
9楼2014-12-26 17:34:51














回复此楼