| 查看: 1868 | 回复: 6 | ||
fang2010铜虫 (正式写手)
|
[求助]
这是水的末端吸收吗? 已有1人参与
|
|
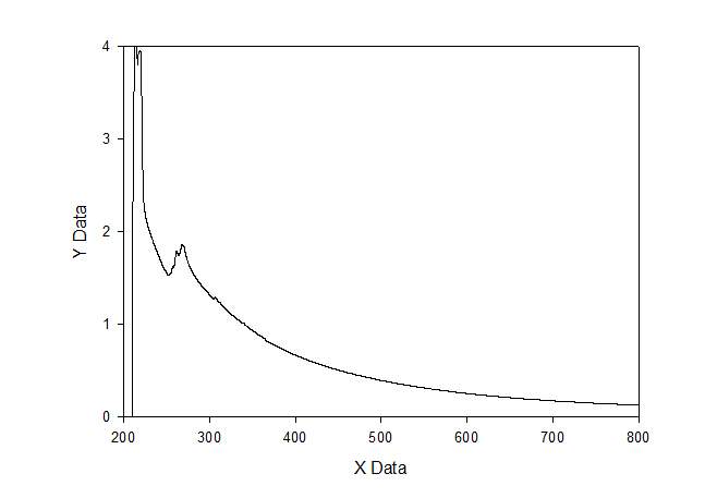
我把样品的水溶液做了波长扫描,如图,我想问一下,220nm和270nm的峰是水的末端吸收吗?那我的样品的吸收峰在哪里?从这幅图我能得到哪些信息?初次接触这方面,有很多地方不明白,望高手赐教!谢谢 0711.jpg |
» 猜你喜欢
306求0703调剂一志愿华中师范
已经有9人回复
一志愿吉大化学322求调剂
已经有6人回复
求调剂
已经有5人回复
344求调剂
已经有3人回复
一志愿哈工大,085400,320,求调剂
已经有3人回复
【考研调剂】化学专业 281分,一志愿四川大学,诚心求调剂
已经有13人回复
307求调剂
已经有3人回复
【双一流院校新能源、环境材料,材料加工与模拟招收大量调剂】
已经有6人回复
26申博自荐
已经有3人回复
资源与环境 调剂申请(333分)
已经有6人回复
» 本主题相关价值贴推荐,对您同样有帮助:
HPLC图谱流动相加不同酸出现的问题
已经有17人回复
罗红霉素溶出度的检测
已经有3人回复
关于透析除小分子问题请教?
已经有4人回复
环己烷紫外吸收问题
已经有7人回复
平衡溶解度的测定
已经有17人回复
紫外做标准曲线
已经有13人回复
紫外最大吸收波长选择
已经有16人回复
求助三乙胺紫外吸收的问题
已经有5人回复
请教。流动相是甲醇水,进甲醇为什么会出峰
已经有63人回复
氯化亚砜-邻苯甲酸酐-DMF酰氯化中的几个问题
已经有19人回复
紫外扫描显示在212nm处最大吸收波长,为什么进液相时在212nm出检测不到出峰?
已经有20人回复
辅料在紫外测定中的干扰
已经有11人回复
高效液相检测植物甾醇 检测条件的选择
已经有5人回复
液相样品就只有唯一的一个峰
已经有21人回复
未知水溶液如何让判断紫外最大吸收波长,有图
已经有6人回复
空白脂质体紫外检测
已经有10人回复
有没有根据紫外特征吸收波长能查到物质大致类型的谱库啊?求解答
已经有4人回复
高效液相测β-谷甾醇,不同的仪器得出的结果不一样?
已经有10人回复
四丁基氢氧化铵做流动相(用过的进来)基线不稳?共有 4 人关注过本贴
已经有15人回复
【求助】SDS做溶出介质的问题
已经有7人回复
【求助】气体除水蒸气
已经有5人回复
【求助】紧急求助!关于紫外末端吸收!!
已经有6人回复
【求助】紫外吸收
已经有20人回复
匿名
用户注销 (知名作家)
精修问题可私信
- ACI: 5
- 应助: 2712 (讲师)
- 贵宾: 0.836
- 金币: 38475.5
- 散金: 1801
- 红花: 400
- 帖子: 5825
- 在线: 1932.4小时
- 虫号: 0
- 注册: 2008-10-05
- 性别: GG
- 专业: 药物分析
- 管辖: 晶体
2楼2014-12-23 16:39:11
fang2010
铜虫 (正式写手)
- 应助: 0 (幼儿园)
- 金币: 364.3
- 散金: 53
- 帖子: 893
- 在线: 84.8小时
- 虫号: 2982326
- 注册: 2014-02-21
- 专业: 化学生物学与生物有机化学
3楼2014-12-24 11:05:28
匿名
用户注销 (知名作家)
精修问题可私信
- ACI: 5
- 应助: 2712 (讲师)
- 贵宾: 0.836
- 金币: 38475.5
- 散金: 1801
- 红花: 400
- 帖子: 5825
- 在线: 1932.4小时
- 虫号: 0
- 注册: 2008-10-05
- 性别: GG
- 专业: 药物分析
- 管辖: 晶体
4楼2014-12-24 11:18:44
fang2010
铜虫 (正式写手)
- 应助: 0 (幼儿园)
- 金币: 364.3
- 散金: 53
- 帖子: 893
- 在线: 84.8小时
- 虫号: 2982326
- 注册: 2014-02-21
- 专业: 化学生物学与生物有机化学
5楼2014-12-24 14:16:45
匿名
用户注销 (知名作家)
精修问题可私信
- ACI: 5
- 应助: 2712 (讲师)
- 贵宾: 0.836
- 金币: 38475.5
- 散金: 1801
- 红花: 400
- 帖子: 5825
- 在线: 1932.4小时
- 虫号: 0
- 注册: 2008-10-05
- 性别: GG
- 专业: 药物分析
- 管辖: 晶体
6楼2014-12-24 14:21:53
fang2010
铜虫 (正式写手)
- 应助: 0 (幼儿园)
- 金币: 364.3
- 散金: 53
- 帖子: 893
- 在线: 84.8小时
- 虫号: 2982326
- 注册: 2014-02-21
- 专业: 化学生物学与生物有机化学
7楼2014-12-24 22:40:34













回复此楼