版块导航
正在加载中...
客户端APP下载
论文辅导
申博辅导
登录
注册
帖子
帖子
用户
本版
应《网络安全法》要求,自2017年10月1日起,未进行实名认证将不得使用互联网跟帖服务。为保障您的帐号能够正常使用,请尽快对帐号进行手机号验证,感谢您的理解与支持!
24小时热门版块排行榜
>
论坛更新日志
(3325)
>
虫友互识
(377)
>
文献求助
(212)
>
导师招生
(187)
>
休闲灌水
(99)
>
硕博家园
(91)
>
博后之家
(73)
>
招聘信息布告栏
(56)
>
教师之家
(53)
>
考博
(45)
>
论文投稿
(43)
>
绿色求助(高悬赏)
(30)
>
基金申请
(28)
>
考研
(25)
>
论文道贺祈福
(20)
>
公派出国
(20)
小木虫论坛-学术科研互动平台
»
计算模拟区
»
程序语言
»
MATLAB/Mathematica
»
matlab求助,计算四个方程四个未知数。
4
1/1
返回列表
查看: 1940 | 回复: 3
只看楼主
@他人
存档
新回复提醒
(忽略)
收藏
在APP中查看
mqw587
新虫
(初入文坛)
应助: 0
(幼儿园)
金币: 163.5
帖子: 6
在线: 2.2小时
虫号: 2731230
注册: 2013-10-17
专业: 金属材料
[
求助
]
matlab求助,计算四个方程四个未知数。
已有2人参与
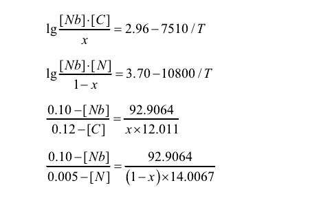
图中,T分别是1200,1150,1100,1050,1000,950,900,分别求出对应的[Nb]、[C]、[N]、x。
matlab.jpg
回复此楼
» 猜你喜欢
垃圾破二本职称评审标准
已经有17人回复
职称评审没过,求安慰
已经有30人回复
回收溶剂求助
已经有6人回复
投稿Elsevier的Neoplasia杂志,到最后选publishing options时页面空白,不能完成投稿
已经有22人回复
申请26博士
已经有5人回复
EST投稿状态问题
已经有7人回复
毕业后当辅导员了,天天各种学生超烦
已经有4人回复
聘U V热熔胶研究人员
已经有10人回复
求助文献
已经有3人回复
投稿返修后收到这样的回复,还有希望吗
已经有8人回复
» 本主题相关价值贴推荐,对您同样有帮助:
求助:超越方程的解法
已经有13人回复
MATLAB求解五元非线性方程组,在线等
已经有7人回复
三角函数方程,四个方程四个未知数请教有解么
已经有5人回复
怎样求得一个四元方程的最优解呢
已经有3人回复
matlab解方程组求助攻
已经有4人回复
matlab解四次方程的问题
已经有6人回复
请问什么是分段龙格库塔的方法?需要用matlab软件采用这种方法求二阶微分方程的解
已经有3人回复
matlab解偏微分方程求助
已经有12人回复
MATLAB求解非线性方程组
已经有5人回复
求Matlab解非线性方程代码
已经有12人回复
求助matlab拟合方程组
已经有12人回复
多项式方程次数与约束方程个数之间的关系
已经有4人回复
各位朋友,如何用matlab编写这个方程,并求解?
已经有15人回复
初学者,请教大家关于matlab解多元二次方程组
已经有4人回复
matlab的fsove 命令求解非线性方程组
已经有6人回复
就解方程组,未知数不收敛,要怎么办?诚求!
已经有12人回复
【求助】matlab 求解微分方程中的未知参数
已经有20人回复
【求助】如何利用MATLAB计算N元N次方程
已经有9人回复
【求助】 求MAtlab求解程序!!!
已经有20人回复
【求助】求教matlab解非线性方程组
已经有9人回复
1楼
2014-12-09 21:42:11
已阅
回复此楼
关注TA
给TA发消息
送TA红花
TA的回帖
dingd
铁杆木虫
(职业作家)
应助: 1641
(讲师)
金币: 15037.3
散金: 101
红花: 234
帖子: 3410
在线: 1223.5小时
虫号: 291104
注册: 2006-10-28
【答案】应助回帖
感谢参与,应助指数 +1
自己动手求了吗?有什么问题?
赞
一下
回复此楼
2楼
2014-12-09 21:49:01
已阅
回复此楼
关注TA
给TA发消息
送TA红花
TA的回帖
mqw587
新虫
(初入文坛)
应助: 0
(幼儿园)
金币: 163.5
帖子: 6
在线: 2.2小时
虫号: 2731230
注册: 2013-10-17
专业: 金属材料
引用回帖:
2楼
:
Originally posted by
dingd
at 2014-12-09 21:49:01
自己动手求了吗?有什么问题?
我是一点matlab都不会,老师说用matlab可以求解这个方程组,能不能编个程序发给我之类的?
赞
一下
回复此楼
3楼
2014-12-10 08:59:16
已阅
回复此楼
关注TA
给TA发消息
送TA红花
TA的回帖
xinlibiao
新虫
(初入文坛)
应助: 1
(幼儿园)
金币: 3.5
帖子: 2
在线: 11.9小时
虫号: 3587546
注册: 2014-12-10
专业: 力学中的基本问题和方法
【答案】应助回帖
感谢参与,应助指数 +1
这个问题看似比较简单啊
赞
一下
回复此楼
4楼
2014-12-10 16:48:32
已阅
回复此楼
关注TA
给TA发消息
送TA红花
TA的回帖
相关版块跳转
第一性原理
量子化学
计算模拟
分子模拟
仿真模拟
程序语言
我要订阅楼主
mqw587
的主题更新
4
1/1
返回列表
如果回帖内容含有宣传信息,请如实选中。否则帐号将被全论坛禁言
普通表情
龙
兔
虎
猫
百度网盘
|
360云盘
|
千易网盘
|
华为网盘
在新窗口页面中打开自己喜欢的网盘网站,将文件上传后,然后将下载链接复制到帖子内容中就可以了。
信息提示
关闭
请填处理意见
关闭
确定