| ²é¿´: 1856 | »Ø¸´: 10 | ||
¹Ë³¾Ï¦Ä°Ð³æ (СÓÐÃûÆø)
|
[½»Á÷]
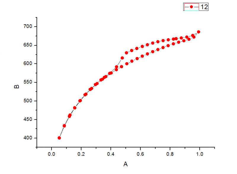
°ïæ·ÖÎöһϵªÆøÎüÍѸ½ÇúÏߺͿ׾¶Í¼~ ÒÑÓÐ4È˲ÎÓë
|
» ±¾Ö÷ÌâÏà¹Ø¼ÛÖµÌùÍÆ¼ö£¬¶ÔÄúͬÑùÓаïÖú:
µªÆøÎü¸½ÍѸ½ÇúÏß³öÏÖÁ˽»²æÊÇʲôÔÒò
ÒѾÓÐ3È˻ظ´
µªÆøÎü¸½ÍѸ½·ÖÎö
ÒѾÓÐ5È˻ظ´
ÇóÖú£¬µªÆøÎüÍѸ½ÇúÏß´ú±íÀàÐÍ
ÒѾÓÐ9È˻ظ´
BET ÎüÍѸ½ÇúÏß·ÖÎö£¬Çó´óÉñ°ïæ
ÒѾÓÐ6È˻ظ´
Çë¸÷λ°ïÎÒ·ÖÎöÏ£¬ÕâÁ½¸öµªÆøµÈÎÂÎüÍѸ½ÇúÏߣ¡£¡£¡
ÒѾÓÐ3È˻ظ´
µªÆøÎü¸½ÍѸ½·ÖÎöÇóÖú
ÒѾÓÐ11È˻ظ´
ÇóÖú ½é¿×¶þÑõ»¯¹èµÄµªÆøÎü¸½ÍѸ½·ÖÎö
ÒѾÓÐ11È˻ظ´
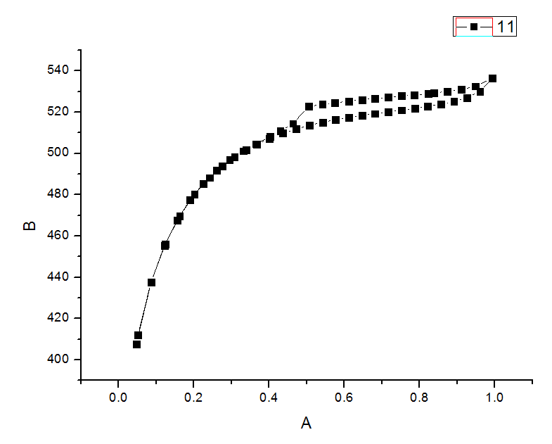
Á½Ìõ²»Í¬µÄµªÆøÎü¸½ÍѸ½ÇúÏߣ¬Çó°ïÖú~~
ÒѾÓÐ18È˻ظ´
µªÆøÎü¸½ÍѸ½µÈÎÂÏß·ÖÎö ÇóÖú,,,
ÒѾÓÐ7È˻ظ´
°ïæ·ÖÎöһϵÈÎÂÎüÍѸ½ÇúÏß
ÒѾÓÐ10È˻ظ´
µªÆøÎü¸½ÍѸ½µÈÎÂÏß·ÖÎö ÇóÖú
ÒѾÓÐ10È˻ظ´
ÇóÖúµªÆøÎüÍÑÇúÏ߸ø³öµÄt-plotÊý¾ÝÔõô½âÊÍ£¿
ÒѾÓÐ11È˻ظ´
ÇëÎÊÕâÑùµÄµªÆøÎü¸½ÇúÏßÊÇʲôÔÒòÔì³ÉµÄ£¿
ÒѾÓÐ11È˻ظ´
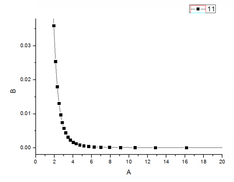
ÇëÎʿ׾¶·Ö²¼²ÉÓõªÆøÎü¸½ÄÄÒ»×éÊý¾Ý×ö³öµÄͼ
ÒѾÓÐ13È˻ظ´
µªÆøÎüÍѸ½ÇúÏßÇóÖú
ÒѾÓÐ19È˻ظ´
°ïæ·ÖÎöһϵªÆøÎü¸½ÇúÏß
ÒѾÓÐ8È˻ظ´
½ô¼±ÇóÖú£¡¹ØÓÚBET µªÆøÎüÍѸ½ÇúÏߵķÖÎö
ÒѾÓÐ9È˻ظ´
µªÆøÎü¸½ÍѸ½ÇúÏߣ¬Çó°ïÖú~~
ÒѾÓÐ18È˻ظ´
Çë½Ì̼²ÄÁϵĵªÆøÎü¸½ÍѸ½ÇúÏß·ÖÎö£¡Çë¸÷λ´óÉñ²»Áߴͽ̣¡~~
ÒѾÓÐ5È˻ظ´
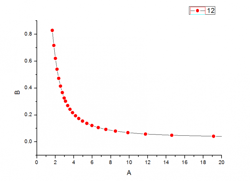
ÇóÖú£¬µªÆøÎü¸½ÍѸ½ÇúÏß¼°¿×¾¶·Ö²¼Í¼
ÒѾÓÐ5È˻ظ´
Çë½Ìż֯±¸µÄÑùÆ·¸ù¾Ý´ËµªÆøÎü¸½£ÍѸ½ÇúÏߺͣ£ʣȵĿ׾¶·Ö²¼Í¼¿É·ñ¶ÏΪ½é¿×²ÄÁÏ
ÒѾÓÐ10È˻ظ´
Õâ¸öµªÆøÎü¸½ÍѸ½ÇúÏßÊÇÊôÓÚÄÄÒ»Àà
ÒѾÓÐ9È˻ظ´
µªÆøÎüÍѸ½²â¿×¾¶·Ö²¼
ÒѾÓÐ18È˻ظ´
µªÆøÎü¸½ÍѸ½µÈÎÂÇúÏß·ÖÎö
ÒѾÓÐ5È˻ظ´
¡¾ÇóÖú¡¿µªÆøÎüÍѸ½ÇúÏß²»±ÕºÏ
ÒѾÓÐ15È˻ظ´
lujingzhi
½ð³æ (СÓÐÃûÆø)
- Ó¦Öú: 54 (³õÖÐÉú)
- ½ð±Ò: 1414.4
- ºì»¨: 7
- Ìû×Ó: 277
- ÔÚÏß: 124.5Сʱ
- ³æºÅ: 1880705
- ×¢²á: 2012-07-06
- ÐÔ±ð: GG
- רҵ: Óлú·Ö×Ó¹¦ÄܲÄÁÏ»¯Ñ§

2Â¥2014-08-30 03:04:54
carbonfoam
ľ³æ (ÕýʽдÊÖ)
- Ó¦Öú: 75 (³õÖÐÉú)
- ½ð±Ò: 3298.9
- ºì»¨: 4
- Ìû×Ó: 504
- ÔÚÏß: 190Сʱ
- ³æºÅ: 2952008
- ×¢²á: 2014-01-31
- ÐÔ±ð: GG
- רҵ: Ì¼ËØ²ÄÁÏÓ볬Ӳ²ÄÁÏ
3Â¥2014-08-30 07:55:49
carbonfoam
ľ³æ (ÕýʽдÊÖ)
- Ó¦Öú: 75 (³õÖÐÉú)
- ½ð±Ò: 3298.9
- ºì»¨: 4
- Ìû×Ó: 504
- ÔÚÏß: 190Сʱ
- ³æºÅ: 2952008
- ×¢²á: 2014-01-31
- ÐÔ±ð: GG
- רҵ: Ì¼ËØ²ÄÁÏÓ볬Ӳ²ÄÁÏ
4Â¥2014-08-30 07:59:10
carbonfoam
ľ³æ (ÕýʽдÊÖ)
- Ó¦Öú: 75 (³õÖÐÉú)
- ½ð±Ò: 3298.9
- ºì»¨: 4
- Ìû×Ó: 504
- ÔÚÏß: 190Сʱ
- ³æºÅ: 2952008
- ×¢²á: 2014-01-31
- ÐÔ±ð: GG
- רҵ: Ì¼ËØ²ÄÁÏÓ볬Ӳ²ÄÁÏ
¡ï ¡ï
Сľ³æ: ½ð±Ò+0.5, ¸ø¸öºì°ü£¬Ð»Ð»»ØÌû
liwentao2010: ½ð±Ò+1, лл»ØÌû£¬»¶Ó³£À´½»Á÷ 2014-08-30 11:14:41
Сľ³æ: ½ð±Ò+0.5, ¸ø¸öºì°ü£¬Ð»Ð»»ØÌû
liwentao2010: ½ð±Ò+1, лл»ØÌû£¬»¶Ó³£À´½»Á÷ 2014-08-30 11:14:41
|
ÄãÓõÄÊÇBJH·¨·ÖÎöÖп×Â𣿠¸Ã·½·¨ÓÐʱ¾ÍÊDz»ÏÔʾ³£¼ûµÄµ¹VÐͷ壬ÄãÓÃDFT·¨°Ñ½é¿×ºÍ΢¿×ͳһµ½Ò»Æð¾ÍÓ¦¸ÃÓÐ·å ²»¹ýÄãûÓеͷÖѹÊý¾Ý£¬ÊÇ×öµÄ¿ìËÙ·ÖÎöÂð£¿Ã»µÍѹÊý¾ÝºÃÏñû·¨ÓÃDFT·¨£¬ÄãÊÔÊÔ¿´ [ ·¢×ÔСľ³æ¿Í»§¶Ë ] |
5Â¥2014-08-30 08:04:48
ÄϹ¬Ð¦°×
ÖÁ×ðľ³æ (ÖøÃûдÊÖ)
- Ó¦Öú: 52 (³õÖÐÉú)
- ½ð±Ò: 16346.9
- É¢½ð: 100
- ºì»¨: 5
- ɳ·¢: 1
- Ìû×Ó: 1314
- ÔÚÏß: 293.5Сʱ
- ³æºÅ: 1768978
- ×¢²á: 2012-04-21
- ÐÔ±ð: GG
- רҵ: ÉúÎïÒ½Óø߷Ö×Ó²ÄÁÏ
6Â¥2014-08-30 08:44:07
¹Ë³¾Ï¦Ä°
гæ (СÓÐÃûÆø)
- Ó¦Öú: 0 (Ó×¶ùÔ°)
- ½ð±Ò: 311.4
- ºì»¨: 1
- Ìû×Ó: 59
- ÔÚÏß: 63.6Сʱ
- ³æºÅ: 2336797
- ×¢²á: 2013-03-11
- רҵ: »·¾³¹¤³Ì
7Â¥2014-08-30 13:06:19
¹Ë³¾Ï¦Ä°
гæ (СÓÐÃûÆø)
- Ó¦Öú: 0 (Ó×¶ùÔ°)
- ½ð±Ò: 311.4
- ºì»¨: 1
- Ìû×Ó: 59
- ÔÚÏß: 63.6Сʱ
- ³æºÅ: 2336797
- ×¢²á: 2013-03-11
- רҵ: »·¾³¹¤³Ì
8Â¥2014-08-30 13:07:54
liudanokokok
ľ³æ (ÕýʽдÊÖ)
- C-EPI: 1
- Ó¦Öú: 23 (СѧÉú)
- ½ð±Ò: 7441.3
- É¢½ð: 1
- ºì»¨: 7
- Ìû×Ó: 452
- ÔÚÏß: 712.6Сʱ
- ³æºÅ: 126309
- ×¢²á: 2005-12-07
- ÐÔ±ð: GG
- רҵ: ÎÞ»úºÏ³ÉºÍÖÆ±¸»¯Ñ§
9Â¥2014-08-30 13:50:08
¹Ë³¾Ï¦Ä°
гæ (СÓÐÃûÆø)
- Ó¦Öú: 0 (Ó×¶ùÔ°)
- ½ð±Ò: 311.4
- ºì»¨: 1
- Ìû×Ó: 59
- ÔÚÏß: 63.6Сʱ
- ³æºÅ: 2336797
- ×¢²á: 2013-03-11
- רҵ: »·¾³¹¤³Ì
10Â¥2014-08-30 13:54:01













»Ø¸´´ËÂ¥