| 查看: 1388 | 回复: 16 | |||
[求助]
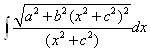
求一个不定积分 已有1人参与
|
|||
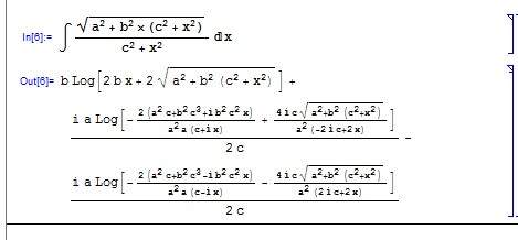
![]() |
|||
|
|
|||
| 回帖支持 ( 显示支持度最高的前 50 名 ) | |||
wolfram2681木虫 (小有名气)
|
|||
|
3楼2014-08-10 23:00:31
|
|
||
feixiaolin荣誉版主 (文坛精英)
|
|||
|
2楼2014-08-10 16:42:38
|
|
||
feixiaolin荣誉版主 (文坛精英)
|
|||
|
8楼2014-08-11 13:31:58
|
|
||
| 普通回帖 | |||
chenrenhuan铁杆木虫 (知名作家)
最强的胃
|
|||
![]() |
|||
|
4楼2014-08-11 00:09:32
|
|
||
feixiaolin荣誉版主 (文坛精英)
|
|||
|
5楼2014-08-11 10:15:55
|
|
||
wolfram2681木虫 (小有名气)
|
|||
|
6楼2014-08-11 12:07:55
|
|
||
![]() |
|||
|
7楼2014-08-11 13:28:16
|
|
||
![]() |
|||
|
9楼2014-08-11 18:50:33
|
|
||
![]() |
|||
|
10楼2014-08-11 19:04:58
|
|
||














回复此楼


lylpiao