| 查看: 1711 | 回复: 15 | ||||
jiaomx2006新虫 (小有名气)
|
[求助]
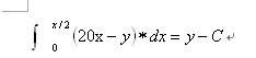
定积分求助,见附件,谢谢!
|
|||
|
|
||||
| 回帖支持 ( 显示支持度最高的前 50 名 ) | ||||
feixiaolin荣誉版主 (文坛精英)
|
★ ★ ★ ★ ★ ★ ★ ★ ★ ★
jiaomx2006(nono2009代发): 金币+10 2013-10-30 21:05:50
|
|||
|
4楼2013-10-30 18:01:37
|
|
|||
feixiaolin荣誉版主 (文坛精英)
|
||||
|
8楼2013-10-30 19:15:21
|
|
|||
| 普通回帖 | ||||
![]() |
||||
|
2楼2013-10-30 17:31:22
|
|
|||
jiaomx2006新虫 (小有名气)
|
||||
|
3楼2013-10-30 17:41:49
|
|
|||
jiaomx2006新虫 (小有名气)
|
||||
|
5楼2013-10-30 19:05:02
|
|
|||
feixiaolin荣誉版主 (文坛精英)
|
||||
|
6楼2013-10-30 19:10:38
|
|
|||
jiaomx2006新虫 (小有名气)
|
||||
|
7楼2013-10-30 19:11:36
|
|
|||
jiaomx2006新虫 (小有名气)
|
||||
|
9楼2013-10-30 19:28:39
|
|
|||
jiaomx2006新虫 (小有名气)
|
||||
|
10楼2013-10-30 19:33:56
|
|
|||













回复此楼

40