| 查看: 1005 | 回复: 7 | ||
[求助]
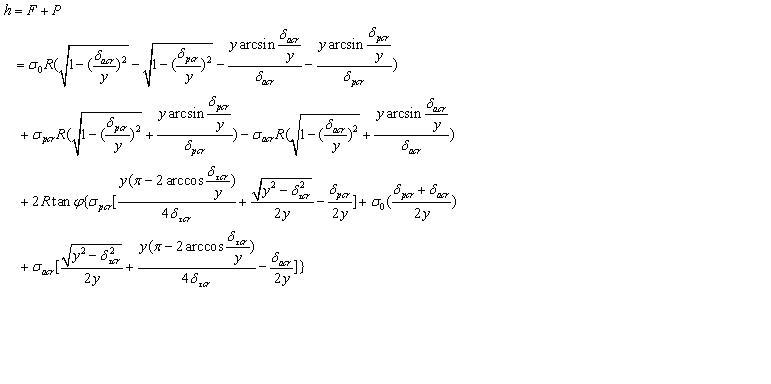
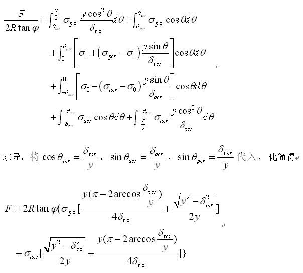
帮忙看下我的化简对不对?
|
| 式子有些烦,请帮忙帮我看看我的化简对不对?谢谢! |
» 猜你喜欢
宿州学院学报
已经有5人回复
青B发送上会通知了吗
已经有14人回复
博士申请
已经有5人回复
4,4二甲基联苯干啥用,有懂得吗
已经有4人回复
西安交大新媒学院副院长用撤稿论文结题
已经有7人回复
论文撤稿了
已经有9人回复
化学专业申博
已经有5人回复
招收2026级博士生
已经有5人回复
医学类期刊求推荐
已经有6人回复
26/27申博自荐
已经有10人回复
» 本主题相关价值贴推荐,对您同样有帮助:
催化剂设计,请求高手来帮忙,急,急,急!!!!!!!
已经有12人回复
QST3过渡态计算报错2070,请大家帮忙分析
已经有10人回复
解析未知化合物
已经有7人回复
求助季铵盐催化甲基化反应
已经有14人回复
求帮忙分析下菌液PCR检测结果
已经有19人回复
对傅里叶变换的理解…
已经有22人回复
求助 含铜的丝光沸石的H2-TPR,请大家帮忙分析
已经有7人回复
关于酰胺化反应产物的溶解性和后处理,虫友们帮帮忙啊!
已经有5人回复
【求助】求助两道定积分
已经有14人回复
【求助】请搞化学分析或者印染的虫友进来帮忙解释一个问题,谢谢!
已经有8人回复
【求助】请高手帮忙~~有结构~
已经有18人回复
我的金电极活化曲线
已经有22人回复
★一步步教你学化妆★从最基本的开始~做个精致的优雅女人~跟着我动手吧
已经有28人回复
hill008
金虫 (正式写手)
- 数学EPI: 1
- 应助: 8 (幼儿园)
- 金币: 2560.6
- 散金: 2088
- 红花: 13
- 帖子: 613
- 在线: 734.4小时
- 虫号: 957255
- 注册: 2010-02-21
- 专业: 统计学其他学科
2楼2012-08-14 20:42:42
longway102
至尊木虫 (文坛精英)
- 应助: 412 (硕士)
- 金币: 12065
- 散金: 4296
- 红花: 14
- 帖子: 10915
- 在线: 795小时
- 虫号: 508226
- 注册: 2008-02-20
- 专业: 数论
3楼2012-08-14 21:09:57
春秋思良
金虫 (正式写手)
- 应助: 2 (幼儿园)
- 金币: 2213.3
- 散金: 50
- 红花: 2
- 帖子: 665
- 在线: 148.4小时
- 虫号: 1352729
- 注册: 2011-07-21
- 性别: GG
- 专业: 电磁环境与电磁兼容
4楼2012-08-14 21:57:14
itachi32167
金虫 (小有名气)
- 应助: 20 (小学生)
- 金币: 752.5
- 帖子: 171
- 在线: 34.4小时
- 虫号: 1603272
- 注册: 2012-02-07
- 性别: GG
- 专业: 工程热物理相关交叉领域
5楼2012-08-15 10:15:04
6楼2012-08-15 14:02:11
7楼2012-08-15 16:05:39
8楼2012-08-16 13:01:46












回复此楼