| 查看: 648 | 回复: 0 | ||
chenjiusheng金虫 (著名写手)
|
[求助]
matlab求积分上限
|
|
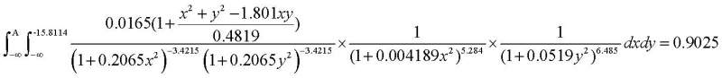
已知二重积分的积分值,求积分上限 如下面的公式: 被积函数:f = 0.0165*(1+(x.^2+y.^2-1.801*x.*y)/0.4819)./(((1+0.2065*x.^2).*(1+0.2065*y.^2)).^-3.4215*(1+0.004189*x.^2).^5.284*(1+0.0519*y.^2).^6.485); 求A的值 |
» 猜你喜欢
08工科求调剂290分
已经有12人回复
286求调剂
已经有16人回复
材料类284调剂
已经有24人回复
考研调剂-材料类-284
已经有14人回复
327求调剂
已经有11人回复
一志愿985初试354分生物调剂
已经有3人回复
一志愿2110,化学学硕310分,本科重点双非求调剂
已经有13人回复
353求调剂
已经有8人回复
308求调剂
已经有16人回复
334求调剂
已经有14人回复
找到一些相关的精华帖子,希望有用哦~
求高手帮忙, MATLAB求积分上限。其中A,E,R为可输入的变值,求hc
已经有5人回复
求在matlab中进行分类的程序
已经有5人回复
如何用matlab求积分中一个变量的值,积分的值已知。
已经有5人回复
matlab求函数积分出错
已经有12人回复
有没有大神会用matlab算这个积分的?
已经有4人回复
matlab积分计算
已经有5人回复
数值积分方法求助
已经有6人回复
对于符号积分matlab积分积不出来怎么解决+有代码
已经有14人回复
Matlab数值积分结果是虚数
已经有6人回复
用matlab如何解方程?
已经有6人回复
求助Matlab编写积分上限为自变量的程序
已经有3人回复
用matlab求一个积分。我求不出来啊
已经有3人回复
matlab 积分求助
已经有8人回复
matlab 积分计算 算不出结果,求帮助!!!
已经有10人回复
关于Matlab算符号积分
已经有6人回复
mathematica 编程求助
已经有9人回复
matlab求积分,出现奇点怎么办?
已经有8人回复
matlab求数值积分?
已经有10人回复
诚求Matlab中二重积分的求解函数
已经有1人回复
【求助】matlab求解一个简单的积分(急!!!)
已经有7人回复
【求助】数学积分
已经有29人回复
【求助】积分微分方程matlab求解
已经有6人回复
【求助】用matlab求1个积分,急!
已经有4人回复
科研从小木虫开始,人人为我,我为人人













回复此楼
点击这里搜索更多相关资源