版块导航
正在加载中...
客户端APP下载
论文辅导
申博辅导
登录
注册
帖子
帖子
用户
本版
应《网络安全法》要求,自2017年10月1日起,未进行实名认证将不得使用互联网跟帖服务。为保障您的帐号能够正常使用,请尽快对帐号进行手机号验证,感谢您的理解与支持!
24小时热门版块排行榜
>
论坛更新日志
(405)
>
虫友互识
(40)
>
休闲灌水
(19)
>
导师招生
(17)
>
硕博家园
(7)
>
博后之家
(4)
>
教师之家
(4)
>
考博
(4)
>
论文投稿
(4)
>
招聘信息布告栏
(3)
>
公派出国
(3)
>
功能材料
(2)
>
论文道贺祈福
(2)
>
考研
(2)
>
材料工程
(1)
>
留学生活
(1)
小木虫论坛-学术科研互动平台
»
专业学科区
»
数学
»
工科数学
»
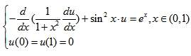
这个一维二阶常微分方程有解解析解吗?matlab算的木有。
2
1/1
返回列表
查看: 1026 | 回复: 1
只看楼主
@他人
存档
新回复提醒
(忽略)
收藏
在APP中查看
rabbitsir
新虫
(小有名气)
应助: 2
(幼儿园)
金币: 2.1
红花: 2
帖子: 183
在线: 116.6小时
虫号: 1596723
注册: 2012-02-02
专业: 机器人学及机器人技术
[
求助
]
这个一维二阶常微分方程有解解析解吗?matlab算的木有。
已有1人参与
如图,如果看不到图片的话应该是屏蔽了广告了....360浏览器的话看右上角有屏蔽的提示哦~
顺带再问下matlab的dsolve函数求解析解有木有局限性?
回复此楼
» 猜你喜欢
请问有评职称,把科研教学业绩算分排序的高校吗
已经有6人回复
2025冷门绝学什么时候出结果
已经有6人回复
Bioresource Technology期刊,第一次返修的时候被退回好几次了
已经有7人回复
真诚求助:手里的省社科项目结项要求主持人一篇中文核心,有什么渠道能发核心吗
已经有8人回复
寻求一种能扛住强氧化性腐蚀性的容器密封件
已经有5人回复
请问哪里可以有青B申请的本子可以借鉴一下。
已经有4人回复
请问下大家为什么这个铃木偶联几乎不反应呢
已经有5人回复
天津工业大学郑柳春团队欢迎化学化工、高分子化学或有机合成方向的博士生和硕士生加入
已经有4人回复
康复大学泰山学者周祺惠团队招收博士研究生
已经有6人回复
AI论文写作工具:是科研加速器还是学术作弊器?
已经有3人回复
» 本主题相关价值贴推荐,对您同样有帮助:
非线性二阶微分方程组求解,matlab
已经有12人回复
求助非线性常微分方程和常系数双曲偏微分方程求解
已经有7人回复
mathcad怎样用四阶龙格库塔法求解二阶微分方程?
已经有8人回复
用matlab求解非线性方程组说无解,一定是方程组本身无解,还是有可能程序有问题呢?
已经有11人回复
如何用 数值解法 求 二阶微分方程的本征值
已经有18人回复
二阶非线性微分方程求解
已经有14人回复
10次代数方程怎么找解析解 最好详细给出matlab程序 谢谢
已经有5人回复
有学过常微分方程数值解(英文版,作者:j.c.Butcher)的虫子吗?求学习体会
已经有5人回复
微分方程解的个数与方程的阶数关系
已经有5人回复
一阶微分方程求解,并优化参数值
已经有14人回复
这样一个偏微分方程有没有解析解?
已经有4人回复
求解一个含字母系数的微分方程
已经有5人回复
常微分方程(ODEs)的MATLAB数值解法
已经有119人回复
【求助】请教非齐次常微分方程组的解析解法
已经有4人回复
【求助】求助一个一阶常微分方程的初值问题
已经有16人回复
【求助】急请微分方程高手看下这个方程组!
已经有14人回复
【求助】请教二阶微分方程的特解(含初始条件)
已经有8人回复
【求助】常微分方程组的解析解
已经有3人回复
1楼
2014-06-03 15:54:04
已阅
回复此楼
关注TA
给TA发消息
送TA红花
TA的回帖
终之太刀—晓
铁杆木虫
(著名写手)
数学爱好者
数学EPI: 7
应助: 282
(大学生)
贵宾: 0.018
金币: 2934.2
散金: 5589
红花: 53
帖子: 1809
在线: 401.6小时
虫号: 3469007
注册: 2014-10-12
性别:
MM
专业: 偏微分方程
【答案】应助回帖
★ ★ ★ ★ ★
rabbitsir: 金币+5,
★★★★★
最佳答案
2014-11-19 11:07:56
这是个变系数线性ODE,要想拿解析解,估计只有用幂级数法。但是这个幂级数应该通项会很复杂,反而没必要求通解;
而且楼主的是两点边值问题,用伽辽金数值解法来求是很好的选择,网上搜下这个数值方法就可以了。
赞
一下
回复此楼
PreferenceforMathematics
2楼
2014-11-01 04:53:25
已阅
回复此楼
关注TA
给TA发消息
送TA红花
TA的回帖
相关版块跳转
数理科学综合
机械
物理
数学
农林
食品
地学
能源
信息科学
土木建筑
航空航天
转基因
我要订阅楼主
rabbitsir
的主题更新
2
1/1
返回列表
如果回帖内容含有宣传信息,请如实选中。否则帐号将被全论坛禁言
普通表情
龙
兔
虎
猫
百度网盘
|
360云盘
|
千易网盘
|
华为网盘
在新窗口页面中打开自己喜欢的网盘网站,将文件上传后,然后将下载链接复制到帖子内容中就可以了。
信息提示
关闭
请填处理意见
关闭
确定