版块导航
正在加载中...
客户端APP下载
登录
注册
帖子
帖子
用户
本版
应《网络安全法》要求,自2017年10月1日起,未进行实名认证将不得使用互联网跟帖服务。为保障您的帐号能够正常使用,请尽快对帐号进行手机号验证,感谢您的理解与支持!
24小时热门版块排行榜
>
论坛更新日志
(3924)
>
导师招生
(499)
>
虫友互识
(441)
>
文献求助
(383)
>
考博
(204)
>
休闲灌水
(196)
>
硕博家园
(139)
>
招聘信息布告栏
(125)
>
基金申请
(98)
>
论文投稿
(91)
>
博后之家
(83)
>
仿真模拟
(50)
>
教师之家
(50)
>
找工作
(49)
>
SciFinder/Reaxys
(48)
>
考研
(43)
小木虫论坛-学术科研互动平台
»
专业学科区
»
数学
»
数学综合
»
求这个方程的解!!!
4
1/1
返回列表
查看: 641 | 回复: 3
只看楼主
@他人
存档
新回复提醒
(忽略)
收藏
在APP中查看
Xkid
铜虫
(初入文坛)
应助: 0
(幼儿园)
金币: 126
帖子: 2
在线: 7.4小时
虫号: 1375524
注册: 2011-08-21
性别: GG
专业: 环境工程
[
求助
]
求这个方程的解!!!
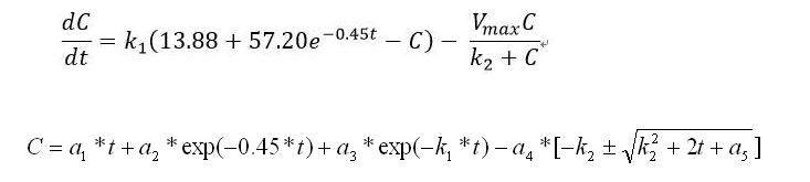
求这个C关于t的方程的解,式子中K1,K2 , Vmax 都是已知数。谢谢各位了,如果答案够详细小弟在追加50个金币(不知道小木虫有没有这个操作。。。)
9D[MY7[WD~404X}7PMB8AKC.jpg
回复此楼
» 猜你喜欢
2026博士申请求助
已经有10人回复
评审感受-评审感受-评审感受
已经有12人回复
西南大学考核制博士
已经有6人回复
窗边初夏的小雨
已经有10人回复
护理论文 晋升
已经有4人回复
求碳排放博导;方向是LCA、生命周期可持续发展以及碳排放
已经有8人回复
26年申博自荐-计算机视觉
已经有5人回复
导师各种操作恶心咋办
已经有12人回复
现在不知道怎么办,感觉很痛苦
已经有5人回复
生物学博士
已经有6人回复
» 本主题相关价值贴推荐,对您同样有帮助:
请问这个偏微分方程组有一般的解法么?
已经有12人回复
matlab可以求解差分方程系统的解吗?
已经有6人回复
求助高手解方程(100金币不够可以再加)
已经有8人回复
如何用Matlab求时变微分方程的解?
已经有5人回复
这个方程组怎么解啊
已经有14人回复
求解这类方程 用什么软件编程较好····
已经有8人回复
如何用 数值解法 求 二阶微分方程的本征值
已经有18人回复
求教这个是什么类型的偏微分方程,应该用什么方法来求解!
已经有9人回复
抛物型偏微分方程的数值解求解问题,谢谢!
已经有14人回复
已知微分方程求解数值解
已经有7人回复
各位朋友,如何用matlab编写这个方程,并求解?
已经有15人回复
求助 MATLAB解方程组-fslove
已经有7人回复
拜求,这种带参数的方程怎么解比较好?
已经有4人回复
求助这个非线性方程改怎么解啊??
已经有4人回复
求matlab 解方程的问题
已经有5人回复
spss多元逐步线性回归方程的问题,求解答!
已经有4人回复
【求助】请教此方程的MATLAB解法
已经有10人回复
【求助】如何解一个含定积分的方程组
已经有9人回复
【求助】求教 多元指数方程如何解 有软件否?
已经有6人回复
1楼
2014-05-09 21:31:26
已阅
回复此楼
关注TA
给TA发消息
送TA红花
TA的回帖
feixiaolin
荣誉版主
(文坛精英)
专家经验: +518
应助: 942
(博后)
贵宾: 1.275
金币: 3880
散金: 58785
红花: 532
沙发: 11
帖子: 24215
在线: 2601.8小时
虫号: 2139575
注册: 2012-11-21
专业: 光学信息获取与处理
管辖:
数学
对C求导,待定系数法解出a1-a5即可。
22.JPG
赞
一下
回复此楼
2楼
2014-05-10 08:27:52
已阅
回复此楼
关注TA
给TA发消息
送TA红花
TA的回帖
Xkid
铜虫
(初入文坛)
应助: 0
(幼儿园)
金币: 126
帖子: 2
在线: 7.4小时
虫号: 1375524
注册: 2011-08-21
性别: GG
专业: 环境工程
引用回帖:
2楼
:
Originally posted by
feixiaolin
at 2014-05-10 08:27:52
对C求导,待定系数法解出a1-a5即可。
22.JPG
谢谢你的答案.怎么把金币给你?第一次发求助帖,不知道怎么操作...
赞
一下
回复此楼
3楼
2014-05-28 10:57:15
已阅
回复此楼
关注TA
给TA发消息
送TA红花
TA的回帖
feixiaolin
荣誉版主
(文坛精英)
专家经验: +518
应助: 942
(博后)
贵宾: 1.275
金币: 3880
散金: 58785
红花: 532
沙发: 11
帖子: 24215
在线: 2601.8小时
虫号: 2139575
注册: 2012-11-21
专业: 光学信息获取与处理
管辖:
数学
引用回帖:
3楼
:
Originally posted by
Xkid
at 2014-05-28 10:57:15
谢谢你的答案.怎么把金币给你?第一次发求助帖,不知道怎么操作......
送一支花就好。
回复此楼
4楼
2014-05-28 12:24:24
已阅
回复此楼
关注TA
给TA发消息
送TA红花
TA的回帖
相关版块跳转
数理科学综合
机械
物理
数学
农林
食品
地学
能源
信息科学
土木建筑
航空航天
转基因
我要订阅楼主
Xkid
的主题更新
4
1/1
返回列表
如果回帖内容含有宣传信息,请如实选中。否则帐号将被全论坛禁言
普通表情
龙
兔
虎
猫
百度网盘
|
360云盘
|
千易网盘
|
华为网盘
在新窗口页面中打开自己喜欢的网盘网站,将文件上传后,然后将下载链接复制到帖子内容中就可以了。
信息提示
关闭
请填处理意见
关闭
确定