| ²é¿´: 892 | »Ø¸´: 5 | ||
goodjackzjгæ (СÓÐÃûÆø)
|
[ÇóÖú]
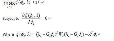
³ÏÐÄÇó½Ì£¬Õâ²½ÓÅ»¯¹«Ê½ÊÇÈçºÎµÃµ½µÄ ÒÑÓÐ1È˲ÎÓë
|
|
|
|
||
goodjackzjгæ (СÓÐÃûÆø) |
|
|
|
2Â¥2014-02-22 20:19:33
|
|
|
goodjackzjгæ (СÓÐÃûÆø)
|
||
|
3Â¥2014-02-27 23:28:43
|
|
|
mywangdiгæ (³õÈëÎÄ̳)
|
||
![]() |
||
|
4Â¥2014-03-18 19:12:35
|
|
|
goodjackzjгæ (СÓÐÃûÆø)
|
||
|
5Â¥2014-03-18 23:02:26
|
|
|
mywangdiгæ (³õÈëÎÄ̳)
|
||
![]() |
||
|
6Â¥2014-03-21 22:04:04
|
|














»Ø¸´´ËÂ¥
