| 查看: 2042 | 回复: 9 | |||
ysjuuplj银虫 (小有名气)
|
[求助]
请教一个非常简单的拉式变换 已有2人参与
|
|
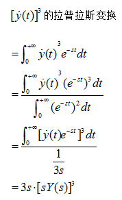
请教y(t)一阶导数的立方的拉氏变换是什么? 我算的结果如图1,结果是3s·[sY(s)].^3不知道对不对 图1.png [ Last edited by ysjuuplj on 2014-2-16 at 12:12 ] |
» 本帖附件资源列表
-
欢迎监督和反馈:小木虫仅提供交流平台,不对该内容负责。
本内容由用户自主发布,如果其内容涉及到知识产权问题,其责任在于用户本人,如对版权有异议,请联系邮箱:xiaomuchong@tal.com - 附件 1 : 图1的word版(和图1一样方便大家不用手打了).doc
- 附件 2 : 图1.png
2014-02-16 12:01:02, 18 K
2014-02-16 12:02:12, 5.01 K
» 猜你喜欢
一志愿南京航空航天大学 材料与化工329分求调剂
已经有7人回复
一志愿C9的化学工程(085602) 340分,感觉校内调剂无望,求调剂
已经有12人回复
312求调剂
已经有4人回复
材料专硕322
已经有9人回复
求调剂
已经有7人回复
085600材料与化工301分求调剂院校
已经有8人回复
一志愿 江南大学 085602 化工专硕 338分求调剂
已经有14人回复
070300化学学硕311分求调剂
已经有13人回复
材料调剂
已经有9人回复
一志愿河北工业大学材料工程,初试344求专硕调剂
已经有4人回复
» 本主题相关价值贴推荐,对您同样有帮助:
请教一个简单的数学积分号问题
已经有12人回复
正常转换的fchk文件缺失电子信息,求教哪里的问题?
已经有6人回复
关于小波变换的请教
已经有5人回复
请教一下这个涡量图怎么画?据说很简单,但是问了好多人都不会,纠结。
已经有10人回复
反拉普拉斯变换积分先后问题
已经有7人回复
请问红外中的K-M变换原理是什么,有什么作用,谢谢指教
已经有7人回复
请问谁会把caj格式的文章转换成word形式的
已经有12人回复
请问哪款Word转PDF的转换器安装后会在word工具栏里产生按钮,一点就能用?
已经有8人回复
【excel】请教如何将附件中数字转换成可以计算的格式?
已经有12人回复
请教java里如何将16进制转换成10进制,并自动识别处理成正负数
已经有4人回复
急,请教关于webservice的问题,一个简单的应用实例如何实现?
已经有3人回复
请教个问题,不同电磁场是否存在规范变换
已经有12人回复
请教如何把mega格式转换成fast格式
已经有3人回复
[求助]外行请教一个简单的生物教科书题目!!!!
已经有3人回复
请教Laplace变换问题
已经有8人回复
请教个简单的小问题
已经有7人回复
【求助】请教:怎么将手性胺比较快捷地转换为对应的手性醇(N—>O)?谢谢了!
已经有23人回复
【求助】请教高人有没有做过从氰基到脒基的基团转换?
已经有8人回复
【求助/交流】请教一个简单问题:新买的载玻片需要清洗么?盖玻片呢?谢谢!
已经有18人回复
【求助】请教一单位转换的问题
已经有5人回复
【求助】请教解析几何高手:100金币求坐标任意转动变换的解析公式
已经有15人回复
feixiaolin
荣誉版主 (文坛精英)
-

专家经验: +518 - 应助: 942 (博后)
- 贵宾: 1.275
- 金币: 3880
- 散金: 58785
- 红花: 532
- 沙发: 11
- 帖子: 24215
- 在线: 2601.8小时
- 虫号: 2139575
- 注册: 2012-11-21
- 专业: 光学信息获取与处理
- 管辖: 数学
2楼2014-02-16 14:37:00
anlongstar
木虫 (文坛精英)
- 应助: 104 (高中生)
- 金币: 10619.4
- 散金: 20
- 红花: 23
- 帖子: 13673
- 在线: 426.7小时
- 虫号: 1173841
- 注册: 2010-12-20
- 性别: GG
- 专业: 动力学与控制
3楼2014-02-16 14:58:49
ysjuuplj
银虫 (小有名气)
- 应助: 0 (幼儿园)
- 金币: 1081.5
- 帖子: 59
- 在线: 27.4小时
- 虫号: 830038
- 注册: 2009-08-18
- 性别: MM
- 专业: 冠状动脉性心脏病
4楼2014-02-16 17:55:22
peterflyer
木虫之王 (文学泰斗)
peterflyer
- 数学EPI: 10
- 应助: 20282 (院士)
- 金币: 146220
- 红花: 1374
- 帖子: 93091
- 在线: 7694.3小时
- 虫号: 1482829
- 注册: 2011-11-08
- 性别: GG
- 专业: 功能陶瓷
5楼2014-02-16 19:37:08
ysjuuplj
银虫 (小有名气)
- 应助: 0 (幼儿园)
- 金币: 1081.5
- 帖子: 59
- 在线: 27.4小时
- 虫号: 830038
- 注册: 2009-08-18
- 性别: MM
- 专业: 冠状动脉性心脏病
6楼2014-02-16 20:12:49
peterflyer
木虫之王 (文学泰斗)
peterflyer
- 数学EPI: 10
- 应助: 20282 (院士)
- 金币: 146220
- 红花: 1374
- 帖子: 93091
- 在线: 7694.3小时
- 虫号: 1482829
- 注册: 2011-11-08
- 性别: GG
- 专业: 功能陶瓷
【答案】应助回帖
★ ★ ★ ★ ★ ★ ★ ★ ★ ★ ★ ★
ysjuuplj(feixiaolin代发): 金币+12 2014-02-26 11:26:28
ysjuuplj(feixiaolin代发): 金币+12 2014-02-26 11:26:28
|
微分方程:y''+y'+y'^2=1 令u=y',则:u'+u+u^3=1 du/[u^3+u-1]=-dx 根据一元三次方程的卡尔丹求根公式,u^3+u-1可表达为: (u-a)*[(u-b)^2+c^2],其中a、b、c均为实数,可由卡尔丹公式得出。 再由代数有理分式分解定理: 1/[u^3+u-1]=A/(u-a)+(B*u+C)/[(u-b)^2+c^2] A、B、C为常数,均可由待定系数法得到。 故: A*Ln(u-a)+B/2*Ln[(u-b)^2+c^2]+(1+B*b/c)*Arctg[(u-b)/c]=D-x 。 其中D为积分常数。结合边界条件可定出D。 将u=dy/dx代入上式,得到一个一阶非线性常微分隐式方程。很无奈,这个方程求不出解析解。 |
7楼2014-02-16 20:18:47
peterflyer
木虫之王 (文学泰斗)
peterflyer
- 数学EPI: 10
- 应助: 20282 (院士)
- 金币: 146220
- 红花: 1374
- 帖子: 93091
- 在线: 7694.3小时
- 虫号: 1482829
- 注册: 2011-11-08
- 性别: GG
- 专业: 功能陶瓷
8楼2014-02-16 20:25:27
peterflyer
木虫之王 (文学泰斗)
peterflyer
- 数学EPI: 10
- 应助: 20282 (院士)
- 金币: 146220
- 红花: 1374
- 帖子: 93091
- 在线: 7694.3小时
- 虫号: 1482829
- 注册: 2011-11-08
- 性别: GG
- 专业: 功能陶瓷
9楼2014-02-16 20:29:26
ysjuuplj
银虫 (小有名气)
- 应助: 0 (幼儿园)
- 金币: 1081.5
- 帖子: 59
- 在线: 27.4小时
- 虫号: 830038
- 注册: 2009-08-18
- 性别: MM
- 专业: 冠状动脉性心脏病
送红花一朵 |
非常感激您的回复,根据您的推导,解析表达式会非常复杂,我把原文挂上可能更简单, 原文后面的Fig.3是根据前面的公式13画出来的,我的最终目的是想知道怎么画出来的? 我解释一下公式13方便您理解: 公式13就是一个单自由度动力学方程(公式2),进行无量纲化得到的公式6,他把公式6写成公式13的样子。 下面的话我用word打好,截图上来,因为有的是用公式编辑器才能打出来。 图3.jpg |
» 本帖附件资源列表
-
欢迎监督和反馈:小木虫仅提供交流平台,不对该内容负责。
本内容由用户自主发布,如果其内容涉及到知识产权问题,其责任在于用户本人,如对版权有异议,请联系邮箱:xiaomuchong@tal.com - 附件 1 : Theoreticalstudyoftheeffectsofnonlinearviscousdampingonvibrationisolationofsdofsystems.pdf
2014-02-16 21:46:05, 349.5 K
10楼2014-02-16 21:47:04














回复此楼