| ²é¿´: 2216 | »Ø¸´: 8 | ||||
desertfoxwfmͳæ (³õÈëÎÄ̳)
|
[ÇóÖú]
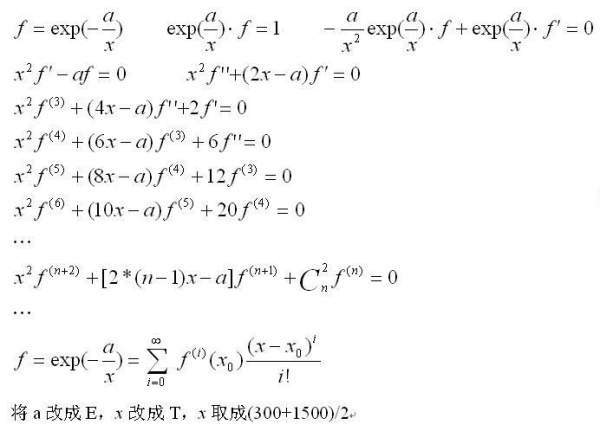
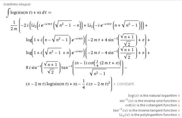
Çë°ïæ×öÁ½¸ö¶þÖØ»ý·Ö£¬Ð»Ð»¡£
|
|||
|
|
||||
feixiaolinÈÙÓþ°æÖ÷ (ÎÄ̳¾«Ó¢)
|
¡¾´ð°¸¡¿Ó¦Öú»ØÌû
¸Ðл²ÎÓ룬ӦÖúÖ¸Êý +1
|
|||
|
2Â¥2013-11-30 14:03:03
|
|
|||
desertfoxwfmͳæ (³õÈëÎÄ̳)
|
||||
|
3Â¥2013-12-01 09:41:22
|
|
|||
feixiaolinÈÙÓþ°æÖ÷ (ÎÄ̳¾«Ó¢)
|
||||
|
4Â¥2013-12-01 11:10:13
|
|
|||
ssszhangxxÌú¸Ëľ³æ (ÕýʽдÊÖ)
|
||||
|
5Â¥2013-12-02 12:47:49
|
|
|||
feixiaolinÈÙÓþ°æÖ÷ (ÎÄ̳¾«Ó¢)
|
» ±¾ÌûÒÑ»ñµÃµÄºì»¨£¨×îÐÂ10¶ä£© |
|||
|
6Â¥2013-12-02 15:04:38
|
|
|||
simultaneousÌú¸Ëľ³æ (ÖøÃûдÊÖ)
|
||||
![]() |
||||
|
7Â¥2013-12-04 13:20:25
|
|
|||
feixiaolinÈÙÓþ°æÖ÷ (ÎÄ̳¾«Ó¢)
|
||||
|
8Â¥2013-12-04 19:32:19
|
|
|||
desertfoxwfmͳæ (³õÈëÎÄ̳)
|
||||
|
9Â¥2013-12-07 10:58:08
|
|














»Ø¸´´ËÂ¥
desertfoxwfm