| ²é¿´: 1262 | »Ø¸´: 9 | |||
¿§·È»ò²èľ³æ (ÖøÃûдÊÖ)
|
[ÇóÖú]
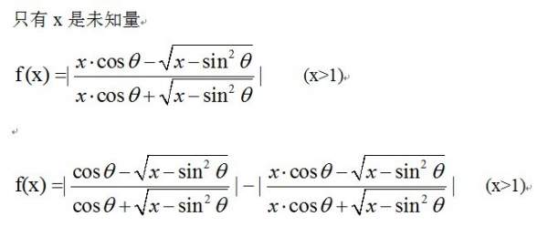
ÒÔǰµÄ֪ʶÓеãÍüÁË£¬ÓÐËÄܰïÎÒÖ¤Ã÷ÏÂÕâÁ½¸öº¯ÊýµÄµ¥µ÷ÐÔ£¿¸½ÎÊÌâ
|
|
Ó¦¸Ã¾ÍÊǸßÖдóѧµÄ֪ʶ£¬ºÜ¾Ã²»ÓÃÓеãÍüÁË¡£ËÄܰïÎÒÖ¤Ã÷Ï£¬¾¡Á¿Ïêϸµã£¬×îºÃÄܰïÎÒÖØÎÂÏÂÖ¤Ã÷º¯Êýµ¥µ÷ÐԵļ¸ÖÖ·½·¨£¬ÏÈллÁË£¡ 11.jpg |
» ²ÂÄãϲ»¶
211±¾£¬11408Ò»Ö¾Ô¸ÖпÆÔº277·Ö£¬ÔøÔÚÖпÆÔº×Ô¶¯»¯Ëùʵϰ
ÒѾÓÐ7È˻ظ´
26É격
ÒѾÓÐ3È˻ظ´
Çóµ÷¼Á£¬×Ü·Ö315£¬¿¼µÄÉúÎïÒ½Ò©£¬Ò»Ö¾Ô¸ºþÄÏʦ·¶´óѧ¡£µ÷¼Áµ½ÈκÎרҵ¶¼¿ÉÒÔ
ÒѾÓÐ3È˻ظ´
²ÄÁÏר˶306Ó¢Ò»Êý¶þ
ÒѾÓÐ7È˻ظ´
²ÄÁϹ¤³Ìר˶274Ò»Ö¾Ô¸211Çóµ÷¼Á
ÒѾÓÐ6È˻ظ´
Ò»Ö¾Ô¸ÄϾ©´óѧ£¬080500²ÄÁÏ¿ÆÑ§Ó빤³Ì£¬µ÷¼Á
ÒѾÓÐ4È˻ظ´
332Çóµ÷¼Á
ÒѾÓÐ5È˻ظ´
271Çóµ÷¼Á
ÒѾÓÐ14È˻ظ´
275Çóµ÷¼Á
ÒѾÓÐ4È˻ظ´
302Çóµ÷¼Á
ÒѾÓÐ8È˻ظ´
» ±¾Ö÷ÌâÏà¹Ø¼ÛÖµÌùÍÆ¼ö£¬¶ÔÄúͬÑùÓаïÖú:
Õã´óÉúÎÑÐÇóÖú
ÒѾÓÐ9È˻ظ´
·Ç²ÎÊýͳ¼ÆµÄ¿¼ÊÔÌâÄ¿£¬Çë¸÷λ¸ßÊÖ°ïÖú½â¾ö
ÒѾÓÐ4È˻ظ´
¿§·È»ò²è
ľ³æ (ÖøÃûдÊÖ)
- Ó¦Öú: 86 (³õÖÐÉú)
- ½ð±Ò: 1695.2
- É¢½ð: 785
- ºì»¨: 13
- Ìû×Ó: 2443
- ÔÚÏß: 712.3Сʱ
- ³æºÅ: 2030662
- ×¢²á: 2012-09-26
- רҵ: Ò£¸Ð»úÀíÓë·½·¨
2Â¥2013-11-05 17:19:59
feixiaolin
ÈÙÓþ°æÖ÷ (ÎÄ̳¾«Ó¢)
-

ר¼Ò¾Ñé: +518 - Ó¦Öú: 942 (²©ºó)
- ¹ó±ö: 1.275
- ½ð±Ò: 3430
- É¢½ð: 58785
- ºì»¨: 532
- ɳ·¢: 11
- Ìû×Ó: 24215
- ÔÚÏß: 2601.8Сʱ
- ³æºÅ: 2139575
- ×¢²á: 2012-11-21
- רҵ: ¹âѧÐÅÏ¢»ñÈ¡Óë´¦Àí
- ¹ÜϽ: Êýѧ
3Â¥2013-11-05 17:46:19
¿§·È»ò²è
ľ³æ (ÖøÃûдÊÖ)
- Ó¦Öú: 86 (³õÖÐÉú)
- ½ð±Ò: 1695.2
- É¢½ð: 785
- ºì»¨: 13
- Ìû×Ó: 2443
- ÔÚÏß: 712.3Сʱ
- ³æºÅ: 2030662
- ×¢²á: 2012-09-26
- רҵ: Ò£¸Ð»úÀíÓë·½·¨
4Â¥2013-11-05 18:09:44
Ê®ÎåµÄÔÂÑÀ
½ð³æ (ÕýʽдÊÖ)
- Ó¦Öú: 70 (³õÖÐÉú)
- ½ð±Ò: 928.8
- ɳ·¢: 4
- Ìû×Ó: 439
- ÔÚÏß: 59.7Сʱ
- ³æºÅ: 2759595
- ×¢²á: 2013-10-28
- ÐÔ±ð: GG
- רҵ: ·ÖÀë¹ý³Ì
5Â¥2013-11-05 20:37:43
¿§·È»ò²è
ľ³æ (ÖøÃûдÊÖ)
- Ó¦Öú: 86 (³õÖÐÉú)
- ½ð±Ò: 1695.2
- É¢½ð: 785
- ºì»¨: 13
- Ìû×Ó: 2443
- ÔÚÏß: 712.3Сʱ
- ³æºÅ: 2030662
- ×¢²á: 2012-09-26
- רҵ: Ò£¸Ð»úÀíÓë·½·¨
6Â¥2013-11-06 15:10:20
hank612
ÖÁ×ðľ³æ (ÖøÃûдÊÖ)
- ÊýѧEPI: 14
- Ó¦Öú: 225 (´óѧÉú)
- ½ð±Ò: 14270.6
- É¢½ð: 1055
- ºì»¨: 95
- Ìû×Ó: 1526
- ÔÚÏß: 1375.8Сʱ
- ³æºÅ: 2530333
- ×¢²á: 2013-07-03
- ÐÔ±ð: GG
- רҵ: ÀíÂۺͼÆË㻯ѧ
|
ðÃÁÎÊһϣ¬ (1): Cos(theta) > 0 ??? (2): x* cos(theta) > ¸ùºÅ(x - Sin^2(theta)) ??? (3): x > 2* Sin^2(theta) ?? Èç¹ûͬʱÂú×ãÕâÈý¸öÌõ¼þ£¬¿ÉÒÔͨ¹ýÇ󵼵ķ½·¨ÅÐ¶Ï µÚÒ»¸öº¯ÊýÊǵ¥µ÷ÉÏÉýµÄ¡£ µ±È»£¬ Ìõ¼þ(2) Ԥʾ×Å ¾ø¶ÔÖµ·ûºÅ¿ÉÒÔ²»Òª¡£ Â¥Ö÷ÄÜ»¸öͼ£¨matlab »ò mathematica) ¿´¿´º¯Êý³¤É¶Ñù£¬ ÐÄÀï¾Í»áÓе×Щ¡£¡£¡£ |

7Â¥2013-11-07 12:29:32
¿§·È»ò²è
ľ³æ (ÖøÃûдÊÖ)
- Ó¦Öú: 86 (³õÖÐÉú)
- ½ð±Ò: 1695.2
- É¢½ð: 785
- ºì»¨: 13
- Ìû×Ó: 2443
- ÔÚÏß: 712.3Сʱ
- ³æºÅ: 2030662
- ×¢²á: 2012-09-26
- רҵ: Ò£¸Ð»úÀíÓë·½·¨
8Â¥2013-11-07 22:01:08
hank612
ÖÁ×ðľ³æ (ÖøÃûдÊÖ)
- ÊýѧEPI: 14
- Ó¦Öú: 225 (´óѧÉú)
- ½ð±Ò: 14270.6
- É¢½ð: 1055
- ºì»¨: 95
- Ìû×Ó: 1526
- ÔÚÏß: 1375.8Сʱ
- ³æºÅ: 2530333
- ×¢²á: 2013-07-03
- ÐÔ±ð: GG
- רҵ: ÀíÂۺͼÆË㻯ѧ
|
x^2* Cos^2(theta) - (x- Sin^2(theta)) = (x-1) * Cos^2(theta) * (x- tan^2(theta)). µ±0< theta <70, ÄÇô 0< tan(theta) <tan(70 degree) = 2.747..., ËùÒÔ x * Cos(theta) - Sqrt( x - Sin^2(theta) ) »¹ÊÇ¿ÉÒÔµÈÓÚÁãµÄ£¬Ö±µ½ x>5.5 ÒÔºó¡£ ¶øº¯ÊýֵȡÁã°ÚÃ÷ÁËÊǾø¶ÔÖµº¯ÊýµÄ×îСֵµã£¬ ²»¿ÉÄܵ¥µ÷µÄ¡£ µ± x >5.5 ºó£¬ º¯Êý¿ÉÒÔÈ¥µô¾ø¶ÔÖµ·ûºÅ¡£ Çóµ¼£¬ ºöÂÔ·Öĸ£¬ Ö»¿´·Ö×Ó£º f' * g - f* g' = »¯¼òºó = (x- 2*Sin^2(theta))/ Sqrt( x- Sin^2(theta)) >0. ËùÒÔ´ÓÄÇÒÔºóµ¥µ÷¡£ µÚ¶þÌâûȥ¶àÏ룬 ¹À¼Æ»¹ÊÇÏÈÈ¥µô ¾ø¶ÔÖµ·ûºÅ£¬È»ºóÒÀÈ»ÊÇÇ󵼡£¡£¡£ |

9Â¥2013-11-08 00:29:32
¿§·È»ò²è
ľ³æ (ÖøÃûдÊÖ)
- Ó¦Öú: 86 (³õÖÐÉú)
- ½ð±Ò: 1695.2
- É¢½ð: 785
- ºì»¨: 13
- Ìû×Ó: 2443
- ÔÚÏß: 712.3Сʱ
- ³æºÅ: 2030662
- ×¢²á: 2012-09-26
- רҵ: Ò£¸Ð»úÀíÓë·½·¨
10Â¥2013-11-22 16:11:06













»Ø¸´´ËÂ¥