| 查看: 647 | 回复: 4 | |||
bluethky木虫 (著名写手)
|
[求助]
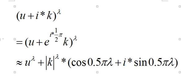
关于一个复数的近似问题【求助】
|
||
|
|
|||
feixiaolin荣誉版主 (文坛精英)
|
|||
|
2楼2013-10-30 16:48:22
|
|
||
bluethky木虫 (著名写手)
|
|||
|
3楼2013-10-30 18:00:17
|
|
||
bluethky木虫 (著名写手)
|
|||
|
4楼2013-10-31 12:40:34
|
|
||
bluethky木虫 (著名写手)
|
|||
|
5楼2013-10-31 12:41:18
|
|












回复此楼
bluethky