| 查看: 658 | 回复: 3 | |
小虫虫LG木虫 (正式写手)
|
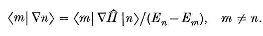
[求助]
求助一个量子的题目推导
|
|
|
|
bfamq铁杆木虫 (著名写手)
|
|
![]() |
|
|
2楼2013-10-10 00:36:19
|
|
小虫虫LG木虫 (正式写手)
|
|
|
3楼2013-10-10 11:22:12
|
|
小虫虫LG木虫 (正式写手)
|
|
|
4楼2013-10-10 11:28:50
|
|













回复此楼
