| 查看: 602 | 回复: 4 | ||
小虫虫LG木虫 (正式写手)
|
[求助]
再次求助一道量子题目
|
|
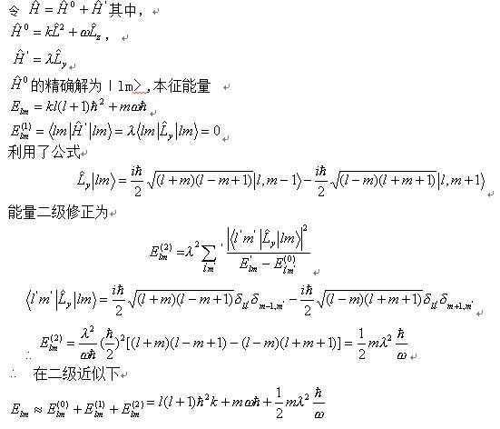
题目见图片 第一小问问题不大 第二小问把握不大。我是将最后那个Ly配方进L^2里面去 了。然后得到能级为 Kl(l+1)h^2+mωh-c c是配方时产生的一个常数。 这样做对吗? [ Last edited by 小虫虫LG on 2013-3-10 at 14:44 ] |
» 猜你喜欢
南昌大学材料专硕311分求调剂
已经有6人回复
316求调剂
已经有6人回复
346求调剂[0856]
已经有7人回复
一志愿山大07化学 332分 四六级已过 本科山东双非 求调剂!
已经有3人回复
310求调剂
已经有3人回复
机械专硕299求调剂至材料
已经有4人回复
070300化学319求调剂
已经有7人回复
08工科 320总分 求调剂
已经有6人回复
一志愿天津大学化学工艺专业(081702)315分求调剂
已经有12人回复
307求调剂
已经有3人回复
» 本主题相关价值贴推荐,对您同样有帮助:
求助一个IRC的问题
已经有7人回复
求助啊,本人是分子生物方面的,想请教一个量子化学方面的问题
已经有8人回复
求助一个量子力学的问题
已经有11人回复
求助一个简单的脚本
已经有4人回复
【求助】一个没想清楚的问题—纳米粒子和量子点的区别
已经有21人回复
【求助】问几个关于量子力学的基本问题
已经有11人回复
【求助】求解一道有关泡利矩阵的量子力学习题
已经有12人回复
【求助】荧光量子产率
已经有10人回复
【求助】场及量子化
已经有13人回复
【求助】一个简单的gap计算问题
已经有9人回复
【求助】前线轨道研究反应选择性的问题
已经有24人回复
zhengyongyb
金虫 (正式写手)
- 应助: 44 (小学生)
- 金币: 179.6
- 红花: 3
- 帖子: 349
- 在线: 144.8小时
- 虫号: 1187369
- 注册: 2011-01-11
- 性别: GG
- 专业: 凝聚态物性 II :电子结构
2楼2013-03-10 20:52:54
zhengyongyb
金虫 (正式写手)
- 应助: 44 (小学生)
- 金币: 179.6
- 红花: 3
- 帖子: 349
- 在线: 144.8小时
- 虫号: 1187369
- 注册: 2011-01-11
- 性别: GG
- 专业: 凝聚态物性 II :电子结构
3楼2013-03-10 20:55:26
小虫虫LG
木虫 (正式写手)
- 应助: 114 (高中生)
- 金币: 1775.9
- 散金: 1871
- 红花: 25
- 帖子: 975
- 在线: 678.5小时
- 虫号: 2128430
- 注册: 2012-11-15
- 性别: GG
- 专业: 凝聚态物性 II :电子结构
4楼2013-03-11 13:04:52
匿名
用户注销 (职业作家)
- 应助: 549 (博士)
- 贵宾: 0.23
- 金币: 2859.9
- 散金: 2337
- 红花: 97
- 沙发: 1
- 帖子: 3355
- 在线: 1328.3小时
- 虫号: 0
- 注册: 2011-07-08
- 性别: GG
- 专业: 凝聚态物性 II :电子结构
- 管辖: 材料区
5楼2013-03-11 14:16:40













回复此楼
