| ²é¿´: 1418 | »Ø¸´: 13 | ||
С³æ³æLGľ³æ (ÕýʽдÊÖ)
|
[ÇóÖú]
ÇóÖúÒ»µÀÁ¿×ÓÌâÄ¿¡£
|
|
|
Ò»µÀ¿¼²©ÌâÄ¿¡£¼ûͼƬ¡£ 01.JPG µÚһСÎÊÎÒ°ÑËü»»µ½¶¯Á¿±íÏó½â¾öÁË£¬µ«ÊǵڶþСÎÊÎÞÂÛÈçºÎ×ö²»À´ÁË¡£Çë¸ßÊִͽ̰¡£¡ [ Last edited by С³æ³æLG on 2013-3-7 at 21:35 ] |
» ²ÂÄãϲ»¶
268Çóµ÷¼Á
ÒѾÓÐ7È˻ظ´
Ò»Ö¾Ô¸ÖØÇì´óѧ085700×ÊÔ´Óë»·¾³×Ü·Ö308Çóµ÷¼Á
ÒѾÓÐ4È˻ظ´
302Çóµ÷¼Á
ÒѾÓÐ11È˻ظ´
306Çóµ÷¼Á
ÒѾÓÐ4È˻ظ´
²ÄÁÏѧѧ˶080502 337Çóµ÷¼Á-Ò»Ö¾Ô¸»ªÖпƼ¼´óѧ
ÒѾÓÐ4È˻ظ´
Çóµ÷¼Á
ÒѾÓÐ6È˻ظ´
313Çóµ÷¼Á
ÒѾÓÐ3È˻ظ´
Äϲý´óѧ²ÄÁÏר˶311·ÖÇóµ÷¼Á
ÒѾÓÐ6È˻ظ´
316Çóµ÷¼Á
ÒѾÓÐ6È˻ظ´
346Çóµ÷¼Á[0856]
ÒѾÓÐ7È˻ظ´
» ±¾Ö÷ÌâÏà¹Ø¼ÛÖµÌùÍÆ¼ö£¬¶ÔÄúͬÑùÓаïÖú:
ÇóÖú°¡£¬±¾ÈËÊÇ·Ö×ÓÉúÎï·½ÃæµÄ£¬ÏëÇë½ÌÒ»¸öÁ¿×Ó»¯Ñ§·½ÃæµÄÎÊÌâ
ÒѾÓÐ8È˻ظ´
ÇóÖúÒ»¸öÁ¿×ÓÁ¦Ñ§µÄÎÊÌâ
ÒѾÓÐ11È˻ظ´
ÇóÖúÒ»¸ö¼òµ¥µÄ½Å±¾
ÒѾÓÐ4È˻ظ´
¡¾ÇóÖú¡¿Îʼ¸¸ö¹ØÓÚÁ¿×ÓÁ¦Ñ§µÄ»ù±¾ÎÊÌâ
ÒѾÓÐ11È˻ظ´
¡¾ÇóÖú¡¿Çó½âÒ»µÀÓйØÅÝÀû¾ØÕóµÄÁ¿×ÓÁ¦Ñ§Ï°Ìâ
ÒѾÓÐ12È˻ظ´
¡¾ÇóÖú¡¿¿´ÁËN¾ÃÒ²²»»áµÄÌâÄ¿
ÒѾÓÐ21È˻ظ´
¡¾ÇóÖú¡¿³¡¼°Á¿×Ó»¯
ÒѾÓÐ13È˻ظ´
¡¾ÇóÖú¡¿Ò»µÀ²©Ê¿ÉúÃæÊÔÌ⣺Ѧ¶¨ÚÌ·½³ÌºÍÈÈ´«µ¼·½³Ì
ÒѾÓÐ10È˻ظ´
¡¾ÇóÖú¡¿Ò»¸ö¼òµ¥µÄgap¼ÆËãÎÊÌâ
ÒѾÓÐ9È˻ظ´
¡¾ÇóÖú¡¿Ç°Ïß¹ìµÀÑо¿·´Ó¦Ñ¡ÔñÐÔµÄÎÊÌâ
ÒѾÓÐ24È˻ظ´
zhengyongyb
½ð³æ (ÕýʽдÊÖ)
- Ó¦Öú: 44 (СѧÉú)
- ½ð±Ò: 179.6
- ºì»¨: 3
- Ìû×Ó: 349
- ÔÚÏß: 144.8Сʱ
- ³æºÅ: 1187369
- ×¢²á: 2011-01-11
- ÐÔ±ð: GG
- רҵ: Äý¾Û̬ÎïÐÔ II £ºµç×ӽṹ
¡¾´ð°¸¡¿Ó¦Öú»ØÌû
¡ï ¡ï ¡ï ¡ï ¡ï ¡ï ¡ï
¸Ðл²ÎÓ룬ӦÖúÖ¸Êý +1
»ªÀöµÄÆ®¹ý: ½ð±Ò+7, 3q 2013-03-12 10:30:24
¸Ðл²ÎÓ룬ӦÖúÖ¸Êý +1
»ªÀöµÄÆ®¹ý: ½ð±Ò+7, 3q 2013-03-12 10:30:24
10Â¥2013-03-08 22:20:01
faith¡¤¡¤¡¤
Òø³æ (СÓÐÃûÆø)
- Ó¦Öú: 10 (Ó×¶ùÔ°)
- ½ð±Ò: 464.4
- É¢½ð: 367
- ºì»¨: 1
- Ìû×Ó: 219
- ÔÚÏß: 116.7Сʱ
- ³æºÅ: 2064869
- ×¢²á: 2012-10-16
- ÐÔ±ð: GG
- רҵ: Á£×ÓÎïÀíѧºÍ³¡ÂÛ

2Â¥2013-03-07 21:40:45
С³æ³æLG
ľ³æ (ÕýʽдÊÖ)
- Ó¦Öú: 114 (¸ßÖÐÉú)
- ½ð±Ò: 1775.9
- É¢½ð: 1871
- ºì»¨: 25
- Ìû×Ó: 975
- ÔÚÏß: 678.5Сʱ
- ³æºÅ: 2128430
- ×¢²á: 2012-11-15
- ÐÔ±ð: GG
- רҵ: Äý¾Û̬ÎïÐÔ II £ºµç×ӽṹ
3Â¥2013-03-07 21:41:33
faith¡¤¡¤¡¤
Òø³æ (СÓÐÃûÆø)
- Ó¦Öú: 10 (Ó×¶ùÔ°)
- ½ð±Ò: 464.4
- É¢½ð: 367
- ºì»¨: 1
- Ìû×Ó: 219
- ÔÚÏß: 116.7Сʱ
- ³æºÅ: 2064869
- ×¢²á: 2012-10-16
- ÐÔ±ð: GG
- רҵ: Á£×ÓÎïÀíѧºÍ³¡ÂÛ

4Â¥2013-03-07 21:44:52
С³æ³æLG
ľ³æ (ÕýʽдÊÖ)
- Ó¦Öú: 114 (¸ßÖÐÉú)
- ½ð±Ò: 1775.9
- É¢½ð: 1871
- ºì»¨: 25
- Ìû×Ó: 975
- ÔÚÏß: 678.5Сʱ
- ³æºÅ: 2128430
- ×¢²á: 2012-11-15
- ÐÔ±ð: GG
- רҵ: Äý¾Û̬ÎïÐÔ II £ºµç×ӽṹ
5Â¥2013-03-07 21:50:39
walk1997
½ð³æ (ÖøÃûдÊÖ)
- ÎïÀíEPI: 1
- Ó¦Öú: 1 (Ó×¶ùÔ°)
- ½ð±Ò: 4676.2
- ºì»¨: 22
- Ìû×Ó: 1066
- ÔÚÏß: 798.1Сʱ
- ³æºÅ: 416039
- ×¢²á: 2007-06-29
- ÐÔ±ð: GG
- רҵ: Á£×ÓÎïÀíѧºÍ³¡ÂÛ
6Â¥2013-03-08 11:40:04
С³æ³æLG
ľ³æ (ÕýʽдÊÖ)
- Ó¦Öú: 114 (¸ßÖÐÉú)
- ½ð±Ò: 1775.9
- É¢½ð: 1871
- ºì»¨: 25
- Ìû×Ó: 975
- ÔÚÏß: 678.5Сʱ
- ³æºÅ: 2128430
- ×¢²á: 2012-11-15
- ÐÔ±ð: GG
- רҵ: Äý¾Û̬ÎïÐÔ II £ºµç×ӽṹ
7Â¥2013-03-08 18:21:18
С³æ³æLG
ľ³æ (ÕýʽдÊÖ)
- Ó¦Öú: 114 (¸ßÖÐÉú)
- ½ð±Ò: 1775.9
- É¢½ð: 1871
- ºì»¨: 25
- Ìû×Ó: 975
- ÔÚÏß: 678.5Сʱ
- ³æºÅ: 2128430
- ×¢²á: 2012-11-15
- ÐÔ±ð: GG
- רҵ: Äý¾Û̬ÎïÐÔ II £ºµç×ӽṹ
8Â¥2013-03-08 18:22:53
wangyd13
Òø³æ (³õÈëÎÄ̳)
- ÎïÀíEPI: 1
- Ó¦Öú: 2 (Ó×¶ùÔ°)
- ½ð±Ò: 60.5
- ºì»¨: 1
- Ìû×Ó: 44
- ÔÚÏß: 30.8Сʱ
- ³æºÅ: 2052277
- ×¢²á: 2012-10-10
- ÐÔ±ð: GG
- רҵ: Äý¾Û̬ÎïÐÔ II £ºµç×ӽṹ
¡¾´ð°¸¡¿Ó¦Öú»ØÌû
¡ï ¡ï ¡ï ¡ï ¡ï ¡ï ¡ï ¡ï ¡ï ¡ï
¸Ðл²ÎÓ룬ӦÖúÖ¸Êý +1
С³æ³æLG: ½ð±Ò+10, ¡ï¡ï¡ï¡ï¡ï×î¼Ñ´ð°¸, ¸Ð¼¤£¡ 2013-03-09 15:10:32
¸Ðл²ÎÓ룬ӦÖúÖ¸Êý +1
С³æ³æLG: ½ð±Ò+10, ¡ï¡ï¡ï¡ï¡ï×î¼Ñ´ð°¸, ¸Ð¼¤£¡ 2013-03-09 15:10:32
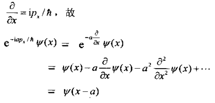
walk1997˵µÄ¶Ô£¬exp£¨-iap/h£©ÊǸöÆ½ÒÆËã·û£¬²»¹ýÕý¸ººÅÒ²ÊÇÈ·¶¨µÄ°¡~Ϊ¸ººÅ£¬±íʾÏòxÖáÆ½ÒÆ¾àÀëa¡£¾ßÌåµÄÖ¤Ã÷·½·¨Îª°ÑµÈʽÁ½±ß·Ö±ð¼¶ÊýÕ¹¿ª£¬±È½ÏһϾÍokÁË¡£ |
9Â¥2013-03-08 21:31:40













»Ø¸´´ËÂ¥