| 查看: 1493 | 回复: 12 | ||
[求助]
用Matlab如何编制以下几个方程???
|
||
|
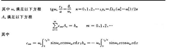
需要编写几个公式,在图片中。公式中的a、r0、角度、Dcj都是定值。只有Wn(n=0,1,2,...)、un、An是未知量,这三个公式就是求这三个未知量。不知道用Matlab如何编制程序?请大家给出建议或是相应程序,多谢! 360截图20130820103013390.JPG |
» 猜你喜欢
寻求一种能扛住强氧化性腐蚀性的容器密封件
已经有7人回复
到新单位后,换了新的研究方向,没有团队,持续积累2区以上论文,能申请到面上吗
已经有8人回复
申请2026年博士
已经有6人回复
请问哪里可以有青B申请的本子可以借鉴一下。
已经有5人回复
天津工业大学郑柳春团队欢迎化学化工、高分子化学或有机合成方向的博士生和硕士生加入
已经有5人回复
2025冷门绝学什么时候出结果
已经有7人回复
请问有评职称,把科研教学业绩算分排序的高校吗
已经有6人回复
Bioresource Technology期刊,第一次返修的时候被退回好几次了
已经有7人回复
请问下大家为什么这个铃木偶联几乎不反应呢
已经有5人回复
康复大学泰山学者周祺惠团队招收博士研究生
已经有6人回复
» 本主题相关价值贴推荐,对您同样有帮助:
matlab解偏微分方程求助
已经有12人回复
求Matlab解非线性方程代码
已经有12人回复
用matlab如何解方程?
已经有6人回复
求助:如何用MATLAB的偏微分方程工具箱画出不同区域内的温度分布图?
已经有5人回复
各位朋友,如何用matlab编写这个方程,并求解?
已经有15人回复
求助 MATLAB解方程组-fslove
已经有7人回复
求助 用matlab拟合三元线性回归方程及分析
已经有9人回复
matlab求解方程中的参数
已经有21人回复
1stopt或matlab如何求解以下的非线性方程并拟合出相应曲线?
已经有13人回复
matlab拟合方程参数时初值的选择
已经有15人回复
谁会用matlab编写这个方程?
已经有10人回复
matlab数值求解边界条件微分方程组
已经有7人回复
求各位前辈帮忙!matlab解复数方程,出现图中的警告,怎来修改呢?谢谢了啊
已经有5人回复
MATLAB解方程出现??? Subscripted assignment dimension mismatch.
已经有3人回复
急切求助用matlab曲线拟合色散方程
已经有10人回复
【求助】matlab 求解微分方程中的未知参数
已经有20人回复
【求助】向各位大侠求助matlab求解微分方程组遇到的一个问题
已经有21人回复
【求助】MATLAB 有限差分法(FDM)求解偏微分方程
已经有22人回复
【求助】matlab 解矩阵方程 重金悬赏解决方案
已经有10人回复
【求助】matlab怎么求解偏微分方程组啊,先谢谢了
已经有13人回复
求助一个差分方程的MATLAB实现
已经有3人回复
【求助】Weickert的各向异性扩散方程的滤波方法的matlab程序代码
已经有8人回复
10楼2013-09-06 11:11:10
【答案】应助回帖
|
%%%说明:里面的有些符号是题目中的定值,你得把常数带进去,不能用我程序里的字符, function jisuan(w) %%%说明:w是你求出的wn,是一个数组,取足够的数据(解是无限的,这儿取几百个就够了) syms x u=Dcj*(w.^2-w0^2)/(2*a); %%%说明:直接求出u n=lenth(w); c=zeros(n,1); b=zeros(n,1); A=zeros(n,1); for i=1:n b(i)=-w0*int(sin(w0*x)*cos(w(i)*x),x,0,r0/a); for j=1:n c(i)=w(j)*int(sin(w(j)*x)*cos(w(i)*x),x,0,r0/a)+c(i); end A(i)=b(i)/c(i); end disp(A); diap(u); |
12楼2013-09-23 20:11:55
2楼2013-08-21 11:08:33
信彼南山
木虫 (著名写手)
- 应助: 33 (小学生)
- 金币: 4142.9
- 散金: 1221
- 红花: 16
- 帖子: 1178
- 在线: 233.5小时
- 虫号: 1133529
- 注册: 2010-10-27
- 专业: 导航、制导与传感技术
3楼2013-08-21 14:18:54
4楼2013-08-21 15:19:56
| 由于图片不清楚,现在重新上传一张图片。 |
» 本帖附件资源列表
-
欢迎监督和反馈:小木虫仅提供交流平台,不对该内容负责。
本内容由用户自主发布,如果其内容涉及到知识产权问题,其责任在于用户本人,如对版权有异议,请联系邮箱:xiaomuchong@tal.com - 附件 1 : 360截图20130821151717859.jpg
2013-08-21 15:22:33, 37.2 K
5楼2013-08-21 15:22:42
abacus
至尊木虫 (著名写手)
- 应助: 10 (幼儿园)
- 金币: 15994.5
- 散金: 100
- 红花: 11
- 帖子: 2273
- 在线: 639.9小时
- 虫号: 553166
- 注册: 2008-05-02
- 专业: 建筑环境与结构工程
6楼2013-08-21 16:14:51
信彼南山
木虫 (著名写手)
- 应助: 33 (小学生)
- 金币: 4142.9
- 散金: 1221
- 红花: 16
- 帖子: 1178
- 在线: 233.5小时
- 虫号: 1133529
- 注册: 2010-10-27
- 专业: 导航、制导与传感技术
7楼2013-08-21 19:34:14
8楼2013-08-21 20:14:03
9楼2013-08-21 20:15:55













回复此楼
815292578
