| 查看: 1382 | 回复: 10 | ||
玉面小飞龙木虫 (著名写手)
|
[求助]
谁会用matlab编写这个方程?
|
|
|
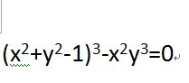
一女生给我个方程,让我帮她编出程序,俺是菜鸟不会啊,求高手帮忙,小弟在此谢过啦; (x^2+y^2-1)^3-x^2y^3=0 [ Last edited by 玉面小飞龙 on 2012-3-24 at 17:38 ] |
» 猜你喜欢
食品工程专硕一志愿中海洋309求调剂
已经有8人回复
求调剂
已经有7人回复
311(085601)求调剂
已经有4人回复
305求调剂
已经有4人回复
一志愿北化085600材料专硕275|有文章专利|求调剂
已经有7人回复
一志愿华理,数一英一285求A区调剂
已经有12人回复
289求调剂
已经有11人回复
生物学学硕,一志愿湖南大学,初试成绩338
已经有6人回复
321求调剂
已经有7人回复
343求调剂
已经有4人回复
» 本主题相关价值贴推荐,对您同样有帮助:
matlab解微分方程
已经有10人回复
求matlab 解方程的问题
已经有5人回复
高金求助matlab解微分方程组
已经有12人回复
求高人指点用matlab求解非线性方程组,解决了追加100金币;
已经有11人回复
【求助】向各位大侠求助matlab求解微分方程组遇到的一个问题
已经有21人回复
【求助】积分微分方程matlab求解
已经有6人回复
求助一个差分方程的MATLAB实现
已经有3人回复
【资源】用matlab求解超越方程
已经有13人回复
1314168apple
金虫 (知名作家)
- 应助: 68 (初中生)
- 金币: 677
- 红花: 12
- 帖子: 6872
- 在线: 1462.3小时
- 虫号: 287760
- 注册: 2006-10-21
- 专业: 色谱分析

7楼2012-03-25 17:04:13
nandehutu9327
至尊木虫 (职业作家)
- 应助: 279 (大学生)
- 金币: 18282.2
- 散金: 780
- 红花: 5
- 沙发: 2
- 帖子: 4561
- 在线: 591.1小时
- 虫号: 784367
- 注册: 2009-06-01
- 性别: GG
- 专业: 控制理论与方法
2楼2012-03-24 20:02:07
玉面小飞龙
木虫 (著名写手)
- 应助: 19 (小学生)
- 金币: 4957.4
- 散金: 544
- 红花: 13
- 帖子: 2820
- 在线: 301.9小时
- 虫号: 540684
- 注册: 2008-04-06
- 性别: GG
- 专业: 半导体材料
3楼2012-03-24 20:50:59

4楼2012-03-24 22:35:22
nandehutu9327
至尊木虫 (职业作家)
- 应助: 279 (大学生)
- 金币: 18282.2
- 散金: 780
- 红花: 5
- 沙发: 2
- 帖子: 4561
- 在线: 591.1小时
- 虫号: 784367
- 注册: 2009-06-01
- 性别: GG
- 专业: 控制理论与方法
5楼2012-03-25 10:00:54
6楼2012-03-25 14:24:33

8楼2012-03-25 18:22:13
玉面小飞龙
木虫 (著名写手)
- 应助: 19 (小学生)
- 金币: 4957.4
- 散金: 544
- 红花: 13
- 帖子: 2820
- 在线: 301.9小时
- 虫号: 540684
- 注册: 2008-04-06
- 性别: GG
- 专业: 半导体材料
9楼2012-03-25 23:06:32

10楼2012-03-29 19:46:05














回复此楼
6