| 查看: 3443 | 回复: 29 | ||||
tianyaheshi铁虫 (正式写手)
|
[交流]
求解一个初中的二元四次方程组,都有哪些方法 已有15人参与
|
|||
|
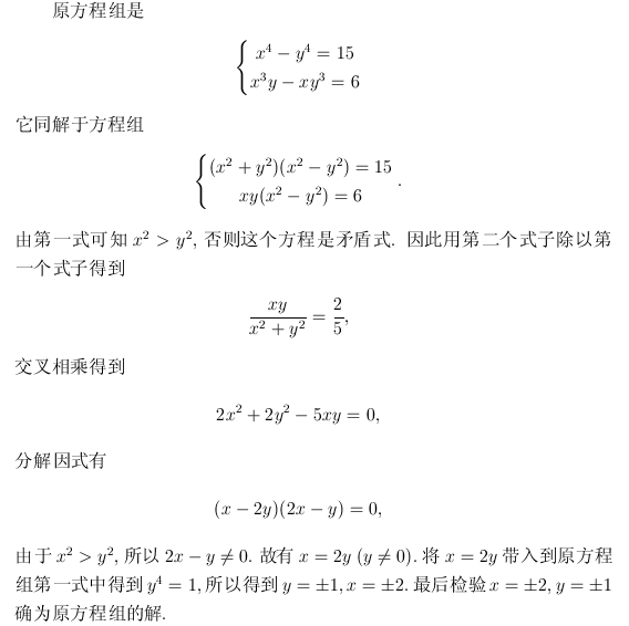
X^4-Y^4=15 X^3*Y-Y^3*X=6 求X和Y |
» 收录本帖的淘帖专辑推荐
杂七杂八 |
» 猜你喜欢
有院领导为了换新车,用横向课题经费买了俩车
已经有4人回复
有时候真觉得大城市人没有县城人甚至个体户幸福
已经有9人回复
CSC & MSCA 博洛尼亚大学能源材料课题组博士/博士后招生|MSCA经费充足、排名优
已经有6人回复
天津大学招2026.09的博士生,欢迎大家推荐交流(博导是本人)
已经有4人回复
同年申请2项不同项目,第1个项目里不写第2个项目的信息,可以吗
已经有3人回复
面上项目申报
已经有3人回复
酰胺脱乙酰基
已经有9人回复
博士延得我,科研能力直往上蹿
已经有7人回复
面上基金申报没有其他的参与者成吗
已经有5人回复
遇见不省心的家人很难过
已经有22人回复
» 本主题相关价值贴推荐,对您同样有帮助:
求助帮帮我编写一个MATLAB程序求解下面一个方程组!!多谢了
已经有5人回复
【matlab】求解这样一个矩阵方程组应该怎么做?
已经有3人回复
求组!求解一个微分方程组的符号解,并画出图像!!!
已经有7人回复
帮忙用Mathematica求解一个微分方程组
已经有6人回复
请教用matlab求解一个非线性偏微分方程组的数值解
已经有8人回复
一元五次方程怎么求解?
已经有8人回复
Mathematica 简单 四元一次方程组 ,求解问题~
已经有9人回复
请问如何求解二元一阶微分方程组
已经有24人回复
求解四阶微分方程组
已经有14人回复
求matlab求解一个方程组的问题
已经有6人回复
一个微分方程组,求解
已经有18人回复
一个偏微分方程组(包括边界条件)如何求解得到自振频率和振型?
已经有4人回复
LABVIEW四阶龙格库塔法求解一阶微分方程组
已经有12人回复
【求助】向各位大侠求助matlab求解微分方程组遇到的一个问题
已经有21人回复
【求助】用mathematica 5.0求解一个非线性方程组失败,特发帖求助!
已经有5人回复
【求助】帮忙求解四元方程组
已经有11人回复

6楼2013-08-12 10:51:25

2楼2013-08-11 22:30:46
vique
捐助贵宾 (正式写手)
- 应助: 8 (幼儿园)
- 金币: 2845.9
- 散金: 5866
- 红花: 7
- 帖子: 592
- 在线: 362.9小时
- 虫号: 69233
- 注册: 2005-05-21
- 专业: 催化化学
3楼2013-08-12 07:25:08
tianyaheshi
铁虫 (正式写手)
- 应助: 1 (幼儿园)
- 金币: 24.5
- 散金: 280
- 红花: 4
- 帖子: 402
- 在线: 676.1小时
- 虫号: 2120160
- 注册: 2012-11-11
- 专业: 催化化学
4楼2013-08-12 08:59:12
8楼2013-08-12 12:18:02

5楼2013-08-12 09:36:33
feng-yu86
木虫 (正式写手)
- 应助: 2 (幼儿园)
- 金币: 4228.4
- 散金: 104
- 红花: 1
- 帖子: 389
- 在线: 244.4小时
- 虫号: 1009715
- 注册: 2010-05-01
- 专业: 计算数学与科学工程计算

7楼2013-08-12 11:49:12
tianyaheshi
铁虫 (正式写手)
- 应助: 1 (幼儿园)
- 金币: 24.5
- 散金: 280
- 红花: 4
- 帖子: 402
- 在线: 676.1小时
- 虫号: 2120160
- 注册: 2012-11-11
- 专业: 催化化学
9楼2013-08-12 20:22:47
tianyaheshi
铁虫 (正式写手)
- 应助: 1 (幼儿园)
- 金币: 24.5
- 散金: 280
- 红花: 4
- 帖子: 402
- 在线: 676.1小时
- 虫号: 2120160
- 注册: 2012-11-11
- 专业: 催化化学
10楼2013-08-12 20:25:10













回复此楼

