| ²é¿´: 1861 | »Ø¸´: 2 | ||
laomao1984½ð³æ (³õÈëÎÄ̳)
²¼Â³¡¢ÖÁ×ð
|
[ÇóÖú]
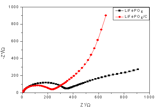
EIS·ÖÎöÇóÖú
|
|
![]() |
||
|
|
||
langzhizhou°æÖ÷ (Ö°Òµ×÷¼Ò)
|
¡¾´ð°¸¡¿Ó¦Öú»ØÌû
¡ï ¡ï ¡ï ¡ï ¡ï
¸Ðл²ÎÓ룬ӦÖúÖ¸Êý +1 laomao1984: ½ð±Ò+5, ¡ï¡ï¡ïºÜÓаïÖú 2013-06-29 08:57:45
|
|
![]() |
||
|
2Â¥2013-06-28 22:32:27
|
|
|
zxw198612ͳæ (ÕýʽдÊÖ)
|
||
|
3Â¥2013-07-23 10:46:45
|
|














»Ø¸´´ËÂ¥