| ²é¿´: 3245 | »Ø¸´: 14 | ||
822³æ³æÐ³æ (СÓÐÃûÆø)
|
[ÇóÖú]
Corrosion scienceͶ¸å±à¼ÌáÎÊÇóÖú¡ª¡ªÖؽðÇóÖú
|
°Ù±¦Ïä |
» ²ÂÄãϲ»¶
Çóµ÷¼Á
ÒѾÓÐ23È˻ظ´
301Çóµ÷¼Á
ÒѾÓÐ15È˻ظ´
304Çóµ÷¼Á£¨085602£¬¹ýËļ¶£¬Ò»Ö¾Ô¸985£©
ÒѾÓÐ17È˻ظ´
302·ÖÇóµ÷¼Á Ò»Ö¾Ô¸°²»Õ´óѧ085601
ÒѾÓÐ12È˻ظ´
288»·¾³×¨Ë¶,Çóµ÷²ÄÁÏ·½Ïò
ÒѾÓÐ23È˻ظ´
»·¾³×¨Ë¶µ÷¼Á
ÒѾÓÐ6È˻ظ´
22408 µ÷¼Á²ÄÁÏ
ÒѾÓÐ6È˻ظ´
285Çóµ÷¼Á
ÒѾÓÐ12È˻ظ´
Çóµ÷¼Á
ÒѾÓÐ6È˻ظ´
085600²ÄÁÏÓ뻯¹¤301·ÖÇóµ÷¼ÁԺУ
ÒѾÓÐ19È˻ظ´
» ±¾Ö÷ÌâÏà¹Ø¼ÛÖµÌùÍÆ¼ö£¬¶ÔÄúͬÑùÓаïÖú:
ÇóÖú¸÷λ²â¶¨Ò»¸öºÏ³É»¯ºÏÎïµÄPH£¬ÑùÆ·Åä³É¶à´óŨ¶ÈºÏÊÊ£¿
ÒѾÓÐ5È˻ظ´
±à¼ÕâÑùµÄÒâ¼ûÔõôÐ޸İ¡£¬Ïò¸÷λÇóÖúÁË
ÒѾÓÐ6È˻ظ´
corrosion science ´«Í¼µÄÎÊÌâ
ÒѾÓÐ5È˻ظ´
Corrosion Science »òÕßElsevier Ð޸ĺóͶ¸åÐèÒªÄÄЩ¶«Î÷£¿ÓÐͶ¹ýµÄ´óÉñÀ´°ïæ
ÒѾÓÐ5È˻ظ´
ÇóÖúcorrosion science ÂÛÎĵĸñʽҪÇó
ÒѾÓÐ3È˻ظ´
crop science Ͷ¸åÇóÖú
ÒѾÓÐ8È˻ظ´
¹ØÓÚͶ¸åCorrosion science½»Á÷
ÒѾÓÐ9È˻ظ´
sciencedirectÖÐJCAͶ¸åÇóÖú
ÒѾÓÐ4È˻ظ´
µç»¯Ñ§·½ÏòͶ¸åÇóÖú
ÒѾÓÐ4È˻ظ´
Corrosion ScienceͶ¸å
ÒѾÓÐ20È˻ظ´
EIS²âÊÔÖУ¬Ôõôѡ²Î±Èµç¼«
ÒѾÓÐ12È˻ظ´
corrosion science´ß¸åÐÅÊÇÆÚ¿¯Ö÷ҳͶ¸ø±à¼Âð£¿
ÒѾÓÐ5È˻ظ´
Corrosion ScienceͶ¸å
ÒѾÓÐ15È˻ظ´
corrosion science µÄÉó¸åÒâ¼û¿´²»¶®
ÒѾÓÐ3È˻ظ´
Ôõô»Ø´ð±à¼ÕâÑùµÄÌáÎÊ
ÒѾÓÐ7È˻ظ´
¹ØÓÚÐ޸ĸåÌá½»µÄÎÊÌâ¡£
ÒѾÓÐ29È˻ظ´
medical science monitor Ͷ¸åÇóÖú
ÒѾÓÐ3È˻ظ´
Corrosion Science Ͷ¸å״̬
ÒѾÓÐ13È˻ظ´
PRAÖØÐÂÌύʱºò£¨resubmission£©£¬±à¼ÌáʾÎÒÉÏ´«µÄÂÛÎÄÖеÄͼƬÎÞ·¨Ê¶±ð¡£
ÒѾÓÐ4È˻ظ´
ÇóÖú£ºCorrosion science Á½¸öÔÂÁË»¹ÊÇUnder Review£¿£¿£¿¸÷λÓоÑéµÄÇë½â´ð
ÒѾÓÐ10È˻ظ´
corrosion scienceͶ¸åûÓÐͨ¹ý¼¼ÊõÉó²é±»ÍË»ØÀ´ÁË£¬Çë¸ßÊÖ°ïæ¿´¿´¡£
ÒѾÓÐ5È˻ظ´
Corrosion Science ÍËÐÞ
ÒѾÓÐ7È˻ظ´
¹ØÓÚCorrosion ScienceͶ¸å
ÒѾÓÐ5È˻ظ´
¡¾ÇóÖú¡¿CORROSION ScienceµÄͶ¸å״̬
ÒѾÓÐ9È˻ظ´
¡¾Çë½Ì¡¿ÈçºÎ»Ø´ð±à¼µÄÌáÎÊ
ÒѾÓÐ10È˻ظ´
tymnj
ľ³æ (СÓÐÃûÆø)
- Ó¦Öú: 6 (Ó×¶ùÔ°)
- ½ð±Ò: 3098.4
- É¢½ð: 2
- ºì»¨: 1
- Ìû×Ó: 253
- ÔÚÏß: 377.6Сʱ
- ³æºÅ: 184036
- ×¢²á: 2006-02-13
- ÐÔ±ð: GG
- רҵ: µç»¯Ñ§
¡¾´ð°¸¡¿Ó¦Öú»ØÌû
¸Ðл²ÎÓ룬ӦÖúÖ¸Êý +1
822³æ³æ(½ð±Ò+80): ¡ï¡ï¡ïºÜÓаïÖú 2012-02-13 10:16:06
822³æ³æ(½ð±Ò+20): ¡ï¡ï¡ïºÜÓаïÖú ÕæÐĸÐл~ 2012-02-15 22:41:29
822³æ³æ(½ð±Ò+80): ¡ï¡ï¡ïºÜÓаïÖú 2012-02-13 10:16:06
822³æ³æ(½ð±Ò+20): ¡ï¡ï¡ïºÜÓаïÖú ÕæÐĸÐл~ 2012-02-15 22:41:29
|
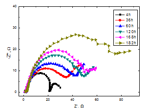
±à¼ÎÊÌâÒ»£¬ÄãµÄÀí½âûÓÐ´í¡£ Éó¸åÒâ¼ûÒ»ºÍ±à¼Òâ¼û¶þÊÇͬһ¸öÎÊÌ⣬Òâ˼Êǵ±ÄãÓÃÒø-ÂÈ»¯Òø²Î±Èµç¼«Ê±£¬±ØÐë±êÃ÷²Î±Èµç¼«ÖÐÂÈÀë×ÓµÄŨ¶È£¬ÒòÎªÒø-ÂÈ»¯Òø²Î±Èµç¼«µÄÎȶ¨µçλÓëÄÚÈÜÒºµÄÂÈÀë×ÓŨ¶ÈÃÜÇÐÏà¹Ø¡£ Éó¸åÒâ¼ûÈý£¬ÒòΪ²»ÖªµÀÄãµÄÂÛÎľßÌåÇé¿ö£¬²»¸ÒÍýÑÔ¡£Éó¸åÈËÒªÇóÄ㽫EISͼÖÐʵÖáºÍÐéÖáµÄ×ø±ê³ß¶È¸Ä³ÉÏàͬµÄ£¬Èç¶¼ÊÇ0~100¡£²¢ÇÒÉó¸åÈËÒªÇóÄ㽫һЩ×迹Æ×µÄµÍÆµÇø×öһϷŴó£¬ÒòΪ×迹µÄµÍƵÐÅÏ¢ÍùÍù·´Ó³Á˵缫±íÃæµÄÖØÒª×´¿ö£¬ÈçÎü¸½¡¢³ÉĤ¡¢¸¯Ê´²úÎï¶Ñ»ýµÈÎÊÌ⣬¶øÄãµÄEIS ÖÐÓÐЩ×迹Æ×ÒòΪ×迹µÍ£¬ËùÒÔµÍÆµÇøÃ÷ÏÔ¿´²»Ç壬ÐèÓòåͼ·Å´óһϡ£ ×£ºÃÔË¡£ |
2Â¥2012-02-11 23:44:30
lnmlz33
Ìú¸Ëľ³æ (ÖøÃûдÊÖ)
- Ó¦Öú: 1 (Ó×¶ùÔ°)
- ½ð±Ò: 9053
- É¢½ð: 151
- ºì»¨: 8
- Ìû×Ó: 1114
- ÔÚÏß: 671Сʱ
- ³æºÅ: 495040
- ×¢²á: 2008-01-14
- ÐÔ±ð: GG
- רҵ: ½ðÊô²ÄÁϱíÃæ¿ÆÑ§Ó빤³Ì
3Â¥2012-02-13 09:35:30
822³æ³æ
гæ (СÓÐÃûÆø)
- Ó¦Öú: 2 (Ó×¶ùÔ°)
- ½ð±Ò: 272.8
- É¢½ð: 99
- ºì»¨: 3
- ɳ·¢: 1
- Ìû×Ó: 70
- ÔÚÏß: 38Сʱ
- ³æºÅ: 1129058
- ×¢²á: 2010-10-22
- רҵ: ½ðÊô²ÄÁϱíÃæ¿ÆÑ§Ó빤³Ì
822³æ³æ: »ØÌûÖö¥ 2012-02-13 10:16:18
822³æ³æ: È¡ÏûÖö¥ 2012-02-15 22:40:34
822³æ³æ: È¡ÏûÖö¥ 2012-02-15 22:40:34
|
Éó¸åÒâ¼ûÒ»Ò²ÊÇ˵²Î±Èµç¼«µÄ£¿²»ÊÇ˵test solutionÂ𣿲αȵ缫ÖÐÂÈÀë×ÓŨ¶ÈÓ¦¸ÃÊDZ¥ºÍµÄ£¬ÎÒÃÇÂòµÄÃÀ¹úµÄµç¼«¡£ÏÈÖ§¸¶80½ð±Ò±íʾ¸Ðл£¬ÔÙ¸½¼ÓÒ»¸öÎÊÌ⣺Éó¸åÈËÎÊÌâÈý£ºthe time of EIS spectrum testing may be too long to affect the structure of orignal corrosion product. It should be considered and explained. What's more, the authors might consider a quantitative EIS analysis.Õâ¸öÎÊÌâÎÒÀí½â£¬ÊDz»ÊÇEISÎÒ×î¶Ì´Ó4h²âµÃ£¬Ó¦¸Ã¸üÔçЩ£¬·´Ó¦×î³õ¸¯Ê´²úÎïÐγɹý³Ì¡£quantitative EIS analysis Ó¦¸ÃÊÇÄâºÏµç·Ԫ¼þ£¬ÄâºÏ³öһЩµç¼«¹ý³Ì¶¯Á¦Ñ§²ÎÊýµÄ¾ßÌåÖµ¡£Õâ¸öÎÊÌâ×·¼Ó40½ð±Ò¡£ |
4Â¥2012-02-13 10:15:29
822³æ³æ
гæ (СÓÐÃûÆø)
- Ó¦Öú: 2 (Ó×¶ùÔ°)
- ½ð±Ò: 272.8
- É¢½ð: 99
- ºì»¨: 3
- ɳ·¢: 1
- Ìû×Ó: 70
- ÔÚÏß: 38Сʱ
- ³æºÅ: 1129058
- ×¢²á: 2010-10-22
- רҵ: ½ðÊô²ÄÁϱíÃæ¿ÆÑ§Ó빤³Ì
5Â¥2012-02-13 12:25:15
tymnj
ľ³æ (СÓÐÃûÆø)
- Ó¦Öú: 6 (Ó×¶ùÔ°)
- ½ð±Ò: 3098.4
- É¢½ð: 2
- ºì»¨: 1
- Ìû×Ó: 253
- ÔÚÏß: 377.6Сʱ
- ³æºÅ: 184036
- ×¢²á: 2006-02-13
- ÐÔ±ð: GG
- רҵ: µç»¯Ñ§
|
²»ºÃÒâ˼£¬¿´´íÁË¡£Éó¸åÒâ¼ûÒ»µÃÒâ˼ÊÇÄãÓ¦¸Ã˵Ã÷ÄãËùÓõIJâÊÔÈÜÒº×é³ÉÒýÓõÄÊÇÄÇһƬÎÄÏ×£¿¿ÉÄÜ£¬ÄãÓõÄÊÇÎÄÏ×ÖеÄÄ£Äâ²âÊÔÒº°É£¿Ó¦¸Ã°ÑÎÄÏ×ÁгöÀ´¡£ ÄãµÄEISµÄƵÂÊ·¶Î§ÊǶàÉÙ£¿100k~1m£¿²»ÊǺÜÇå³þÕâ¸öÒâ¼ûÊÇ˵µ¥¸ö×迹Æ×µÄ²âÊÔʱ¼ä¹ý³¤£¨ÈôµÍƵºÜµÍµÄ»°£¬Ò»¸ö×迹Æ×µÄ²âÊÔʱ¼ä¿ÉÄܾÍÐèÒªÊýСʱ£©£¬»¹ÊÇ˵ÄãµÄ×ܽþÅÝʱ¼ä¹ý³¤£¬°ÑÄãµÄÂÛÎÄÓëÉó¸åÒâ¼ûÁªÏµÆðÀ´¿´¿´°É£¬ÕýÈ·Àí½âÉó¸åÈ˵ÄÒâ˼¡£ ¹ØÓÚ£¬¶¯Á¦Ñ§Êý¾ÝµÈ£¬×迹Æ×ÄâºÏÁËô£¿Ó¦ÄâºÏһϣ¬µÃµ½Ïà¹Ø²ÎÊýÈ»ºó·ÖÎö¡£ |
6Â¥2012-02-13 13:42:27
tymnj
ľ³æ (СÓÐÃûÆø)
- Ó¦Öú: 6 (Ó×¶ùÔ°)
- ½ð±Ò: 3098.4
- É¢½ð: 2
- ºì»¨: 1
- Ìû×Ó: 253
- ÔÚÏß: 377.6Сʱ
- ³æºÅ: 184036
- ×¢²á: 2006-02-13
- ÐÔ±ð: GG
- רҵ: µç»¯Ñ§
7Â¥2012-02-13 13:45:02
tymnj
ľ³æ (СÓÐÃûÆø)
- Ó¦Öú: 6 (Ó×¶ùÔ°)
- ½ð±Ò: 3098.4
- É¢½ð: 2
- ºì»¨: 1
- Ìû×Ó: 253
- ÔÚÏß: 377.6Сʱ
- ³æºÅ: 184036
- ×¢²á: 2006-02-13
- ÐÔ±ð: GG
- רҵ: µç»¯Ñ§
8Â¥2012-02-13 13:49:51
lnmlz33
Ìú¸Ëľ³æ (ÖøÃûдÊÖ)
- Ó¦Öú: 1 (Ó×¶ùÔ°)
- ½ð±Ò: 9053
- É¢½ð: 151
- ºì»¨: 8
- Ìû×Ó: 1114
- ÔÚÏß: 671Сʱ
- ³æºÅ: 495040
- ×¢²á: 2008-01-14
- ÐÔ±ð: GG
- רҵ: ½ðÊô²ÄÁϱíÃæ¿ÆÑ§Ó빤³Ì
9Â¥2012-02-14 09:08:09
822³æ³æ
гæ (СÓÐÃûÆø)
- Ó¦Öú: 2 (Ó×¶ùÔ°)
- ½ð±Ò: 272.8
- É¢½ð: 99
- ºì»¨: 3
- ɳ·¢: 1
- Ìû×Ó: 70
- ÔÚÏß: 38Сʱ
- ³æºÅ: 1129058
- ×¢²á: 2010-10-22
- רҵ: ½ðÊô²ÄÁϱíÃæ¿ÆÑ§Ó빤³Ì
10Â¥2012-02-15 22:39:40














»Ø¸´´ËÂ¥