| 查看: 1554 | 回复: 11 | ||
[求助]
非线性复方程的求解问题
|
||
|
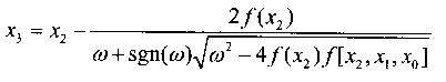
要求解一个非线性复方程,当然,根也是复数的。我只在书上找到了抛物线法,但是不知道对于复方程情况,迭代中的x3中sgn(Omega)如何选取? 另外,除此之外有什么较好的方法? 1.JPG [ Last edited by milan6 on 2013-6-18 at 21:21 ] |
» 猜你喜欢
导师想让我从独立一作变成了共一第一
已经有9人回复
博士读完未来一定会好吗
已经有23人回复
到新单位后,换了新的研究方向,没有团队,持续积累2区以上论文,能申请到面上吗
已经有11人回复
读博
已经有4人回复
JMPT 期刊投稿流程
已经有4人回复
心脉受损
已经有5人回复
Springer期刊投稿求助
已经有4人回复
小论文投稿
已经有3人回复
申请2026年博士
已经有6人回复
» 本主题相关价值贴推荐,对您同样有帮助:
用matlab求解非线性方程组说无解,一定是方程组本身无解,还是有可能程序有问题呢?
已经有11人回复
非线性方程求解问题,求助各位兄弟姐妹们~~
已经有7人回复
【求助】非线性方程组的求解问题
已经有6人回复
二阶非线性微分方程求解
已经有14人回复
拟牛顿法求解复杂(带根号的)非线性方程组
已经有17人回复
非线性方程组的解法
已经有5人回复
使用fsolve求解非线性方程问题
已经有9人回复
matlab求解非线性方程组,错误提示怎么解决
已经有5人回复
急切求助!一个mathematica求解一个简单一元非线性方程的问题
已经有4人回复
matlab求解非线性方程组
已经有16人回复
求高人指点用matlab求解非线性方程组,解决了追加100金币;
已经有11人回复
求助:非线性方程系数回归问题?
已经有10人回复
matlab的fsove 命令求解非线性方程组
已经有6人回复
【求助】用mathematica 5.0求解一个非线性方程组失败,特发帖求助!
已经有5人回复
【求助】matlab求解非线性方程组,并画图处理。要求y,z是实数解!
已经有18人回复
【求助】求教matlab解非线性方程组
已经有9人回复
【求助】求解非线性方程
已经有8人回复
pippi6
铁杆木虫 (著名写手)
工程和科学数值计算咨询
- 数学EPI: 6
- 应助: 413 (硕士)
- 贵宾: 0.002
- 金币: 7116.5
- 散金: 15
- 红花: 63
- 帖子: 1639
- 在线: 798.9小时
- 虫号: 2469437
- 注册: 2013-05-14
- 专业: 计算数学与科学工程计算
11楼2013-06-21 13:14:52
2楼2013-06-20 17:27:46
pippi6
铁杆木虫 (著名写手)
工程和科学数值计算咨询
- 数学EPI: 6
- 应助: 413 (硕士)
- 贵宾: 0.002
- 金币: 7116.5
- 散金: 15
- 红花: 63
- 帖子: 1639
- 在线: 798.9小时
- 虫号: 2469437
- 注册: 2013-05-14
- 专业: 计算数学与科学工程计算
3楼2013-06-20 17:54:03
4楼2013-06-20 20:32:01
pippi6
铁杆木虫 (著名写手)
工程和科学数值计算咨询
- 数学EPI: 6
- 应助: 413 (硕士)
- 贵宾: 0.002
- 金币: 7116.5
- 散金: 15
- 红花: 63
- 帖子: 1639
- 在线: 798.9小时
- 虫号: 2469437
- 注册: 2013-05-14
- 专业: 计算数学与科学工程计算
5楼2013-06-20 20:48:28
6楼2013-06-21 09:49:15
7楼2013-06-21 09:55:17
pippi6
铁杆木虫 (著名写手)
工程和科学数值计算咨询
- 数学EPI: 6
- 应助: 413 (硕士)
- 贵宾: 0.002
- 金币: 7116.5
- 散金: 15
- 红花: 63
- 帖子: 1639
- 在线: 798.9小时
- 虫号: 2469437
- 注册: 2013-05-14
- 专业: 计算数学与科学工程计算
8楼2013-06-21 11:25:16
9楼2013-06-21 11:33:42
10楼2013-06-21 11:37:17













回复此楼

