| 查看: 2863 | 回复: 2 | ||
[求助]
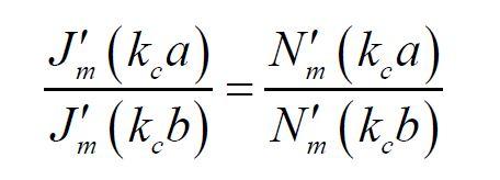
求教:用matlab或mathematica求解含贝塞尔函数的方程
|
||
![]() |
||
|
|
||
![]() |
||
|
2楼2013-03-23 14:44:41
|
|
|
walk1997金虫 (著名写手)
|
★ ★ ★ ★ ★ ★ ★ ★ ★ ★
华丽的飘过: 金币+10, 3q 2013-03-26 02:55:51
|
|
|
3楼2013-03-25 08:52:34
|
|














回复此楼