| 查看: 1893 | 回复: 6 | ||
[求助]
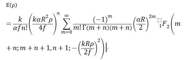
MATLAB无法计算出这个含【级数和超几何函数】的式子
|
||
|
|
||
|
||
|
2楼2014-04-20 11:13:59
|
|
|
|
3楼2014-04-20 14:09:03
|
|
|
徐谊木虫 (著名写手)
|
||
|
4楼2014-04-20 20:01:03
|
|
|
|
5楼2014-04-21 10:30:11
|
|
|
徐谊木虫 (著名写手)
|
||
|
6楼2014-04-21 13:24:54
|
|
|
|
7楼2014-05-04 09:35:06
|
|













回复此楼
