| ²é¿´: 2096 | »Ø¸´: 4 | ||
µÚÈýÊÀ½çľ³æ (ÕýʽдÊÖ)
|
[ÇóÖú]
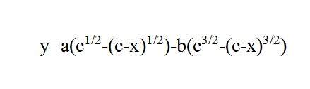
ÔõôÀûÓÃmatlab¼ÆËã³ö·ÇÏßÐÔº¯ÊýÄ£Ð͵ÄϵÊý£¿ ¼±Ç󣡣¡£¡£¡£¡ ÒÑÓÐ2È˲ÎÓë
|
|
|
|
||
¡¾´ð°¸¡¿Ó¦Öú»ØÌû
¸Ðл²ÎÓ룬ӦÖúÖ¸Êý +1
|
||
|
2Â¥2013-12-25 22:28:19
|
|
|
hppdyxľ³æ (ÖªÃû×÷¼Ò)
|
||
![]() |
||
|
3Â¥2013-12-25 22:40:18
|
|
|
µÚÈýÊÀ½çľ³æ (ÕýʽдÊÖ)
|
|
|
|
4Â¥2013-12-27 14:32:14
|
|
|
µÚÈýÊÀ½çľ³æ (ÕýʽдÊÖ)
|
||
|
5Â¥2013-12-27 14:32:40
|
|















»Ø¸´´ËÂ¥
