| 查看: 579 | 回复: 1 | ||
serenajing金虫 (小有名气)
|
[求助]
利用MATLAB计算热管轴向参数的问题
|
|
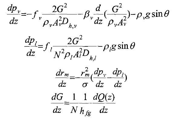
上述理论模型中,文献提到这个方程组是封闭的。而在我看来液体流通面积Al是一个未知量,故方程组有4个方程以及G,Al,Pv,Pl,rm五个未知量,还没有封闭。这里的Al到底应该怎么处理?还是不需要处理Al来通过其他办法求解这个方程组?还请各位大神赐教!!! _01~R}ARS`X46R9I8{U2ISM.jpg |
» 猜你喜欢
拟解决的关键科学问题还要不要写
已经有11人回复
救命帖
已经有5人回复
限项规定
已经有5人回复
为什么nbs上溴 没有产物点出现呢
已经有9人回复
招博士
已经有3人回复
存款400万可以在学校里躺平吗
已经有35人回复
最失望的一年
已经有18人回复
求推荐博导
已经有4人回复
求推荐英文EI期刊
已经有5人回复
疑惑?
已经有5人回复
» 本主题相关价值贴推荐,对您同样有帮助:
使用matlab最优化方法拟合获得多个动力学参数中的问题
已经有4人回复
【已完结】comsol参数里使用matlab函数出现维数不一致问题
已经有6人回复
matlab拟合参数显示初始点是一个局部最小值
已经有18人回复
拜求!matlab拟合动力学参数
已经有14人回复
求回归方程参数的最优化算法matlab代码
已经有17人回复
请教matlab用数组给参数矩阵赋值的问题
已经有11人回复
紧急求助,利用Matlab对实验数据进行拟合求解参数。
已经有27人回复
matlab M文件 给规定参数设个边界
已经有7人回复
关于matlab的参数估计
已经有15人回复
MATLAB微分方程参数拟合问题,求大神
已经有7人回复
Matlab最小二乘参数优化
已经有3人回复
matlab求解方程中的参数
已经有21人回复
matlab 拟合反应动力学参数结果很差。大家帮忙看一下
已经有14人回复
请教matlab反应动力学参数估计遇到的问题,谢谢
已经有15人回复
matlab参数拟合
已经有6人回复
MATLAB用于三元回归参数
已经有3人回复
matlab拟合方程参数时初值的选择
已经有15人回复
matlab拟合模型参数
已经有5人回复
matlab反求未知输入参数
已经有4人回复
求回归方程参数估计的最优化算法matlab代码
已经有9人回复
[求助]matlab画一个非参数方程的三维图形
已经有3人回复
matlab非线性参数拟合问题
已经有7人回复
2楼2014-05-17 20:10:05













回复此楼