| 查看: 1636 | 回复: 8 | ||
[求助]
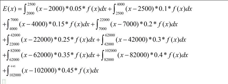
怎么利用matlab计算如下函数的积分 已有2人参与
|
||
|
|
||
shenyxtata金虫 (正式写手)
|
||
|
2楼2016-01-30 10:18:48
|
|
|
shenyxtata金虫 (正式写手)
|
||
|
3楼2016-01-30 10:19:58
|
|
|
|
4楼2016-01-30 10:20:18
|
|
|
|
5楼2016-01-30 16:00:26
|
|
|
龙山狮崖铁杆木虫 (正式写手)
|
||
![]() |
||
|
6楼2016-01-31 02:26:46
|
|
|
shikang999新虫 (小有名气)
|
【答案】应助回帖
★ ★ ★ ★ ★ ★ ★ ★ ★
感谢参与,应助指数 +1 gycyhl(Edstrayer代发): 金币+5 2016-01-31 06:14:00 gycyhl: 金币+4, ★★★★★最佳答案, 初来乍到,金币不多。。。请笑纳 2016-01-31 09:18:08
|
|
![]() |
||
|
7楼2016-01-31 04:04:09
|
|
|
|
8楼2016-01-31 09:00:54
|
|
|
|
9楼2016-01-31 09:17:11
|
|














回复此楼


