| 查看: 807 | 回复: 5 | ||
[求助]
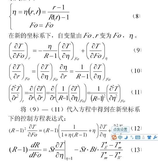
求助一个坐标变换问题
|
||
|
|
||
笑母宠木虫 (职业作家)
|
||
![]() |
||
|
2楼2013-03-17 17:18:52
|
|
|
【答案】应助回帖
★ ★ ★ ★ ★ ★ ★ ★ ★ ★
感谢参与,应助指数 +1 ColonelG: 金币+10, ★★★很有帮助, 谢谢回复! 2013-03-19 10:53:52
|
||
|
3楼2013-03-19 02:51:35
|
|
|
|
4楼2013-03-19 10:59:34
|
|
|
|
5楼2013-03-20 01:19:33
|
|
|
|
6楼2013-03-20 01:23:13
|
|














回复此楼
