版块导航
正在加载中...
客户端APP下载
论文辅导
调剂小程序
登录
注册
帖子
帖子
用户
本版
应《网络安全法》要求,自2017年10月1日起,未进行实名认证将不得使用互联网跟帖服务。为保障您的帐号能够正常使用,请尽快对帐号进行手机号验证,感谢您的理解与支持!
24小时热门版块排行榜
>
论坛更新日志
(3248)
>
虫友互识
(354)
>
文献求助
(203)
>
休闲灌水
(180)
>
导师招生
(154)
>
考博
(78)
>
博后之家
(50)
>
硕博家园
(48)
>
考研
(48)
>
论文投稿
(40)
>
基金申请
(34)
>
论文道贺祈福
(31)
>
公派出国
(30)
>
找工作
(26)
>
教师之家
(25)
>
招聘信息布告栏
(23)
小木虫论坛-学术科研互动平台
»
专业学科区
»
物理
»
基础物理
»
求助:这个方程的解是什么?
2
1/1
返回列表
查看: 682 | 回复: 1
只看楼主
@他人
存档
新回复提醒
(忽略)
收藏
在APP中查看
xiaojixiong
金虫
(小有名气)
应助: 0
(幼儿园)
金币: 3482.5
散金: 3
帖子: 239
在线: 67.6小时
虫号: 425899
注册: 2007-07-28
性别: GG
专业: 等离子体物理
[
求助
]
求助:这个方程的解是什么?
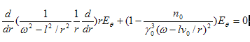
向大家请教一个问题,这个方程的解是什么,哪位大侠知道不?
01.png
回复此楼
» 猜你喜欢
为什么中国大学教授们水了那么多所谓的顶会顶刊,但还是做不出宇树机器人?
已经有3人回复
售SCI一区文章,我:8 O5 51O 54,科目齐全,可+急
已经有4人回复
售SCI一区文章,我:8 O5 51O 54,科目齐全,可+急
已经有3人回复
售SCI一区文章,我:8 O5 51O 54,科目齐全,可+急
已经有4人回复
“人文社科而论,许多学术研究还没有达到民国时期的水平”
已经有5人回复
过年走亲戚时感受到了所开私家车的鄙视链
已经有11人回复
什么是人一生最重要的?
已经有4人回复
版面费该交吗
已经有3人回复
今年春晚有几个节目很不错,点赞!
已经有12人回复
体制内长辈说体制内绝大部分一辈子在底层,如同你们一样大部分普通教师忙且收入低
已经有12人回复
» 本主题相关价值贴推荐,对您同样有帮助:
求助:想请教大家这个方程怎么解,通解是什么?
已经有14人回复
求助 MATLAB解方程组-fslove
已经有7人回复
求助解一道高中数学方程题
已经有8人回复
求助这个非线性方程改怎么解啊??
已经有4人回复
【求助】如何解这样的方程组【有效期至2011年4月30日】
已经有9人回复
【求助】急求积分方程解法
已经有4人回复
【求助】急请微分方程高手看下这个方程组!
已经有14人回复
【求助】请教一个关于解方程的问题
已经有8人回复
【求助】求教 多元指数方程如何解 有软件否?
已经有6人回复
【求助】一个二阶常微分方程的解法(重奖金币!)
已经有16人回复
【求助】如何解这个常微分方程【已完结】
已经有9人回复
【求助】30金币求助偏微分方程组解析解
已经有12人回复
【求助】偏微分方程的基本解
已经有5人回复
【求助】一个常微分方程的通解
已经有6人回复
1楼
2013-03-09 15:50:23
已阅
回复此楼
关注TA
给TA发消息
送TA红花
TA的回帖
janecool
铁杆木虫
(著名写手)
物理EPI: 1
应助: 54
(初中生)
贵宾: 0.006
金币: 5996.2
散金: 342
红花: 12
帖子: 2070
在线: 626.6小时
虫号: 830148
注册: 2009-08-18
性别: GG
专业: 粒子物理学和场论
【答案】应助回帖
★ ★
感谢参与,应助指数 +1
华丽的飘过: 金币+2, 3q
2013-03-12 10:18:17
对于二阶齐次常微分方程的求解可利用试探法求其分析解
赞
一下
回复此楼
相信会有属于你的精彩
2楼
2013-03-09 18:28:47
已阅
回复此楼
关注TA
给TA发消息
送TA红花
TA的回帖
相关版块跳转
数理科学综合
机械
物理
数学
农林
食品
地学
能源
信息科学
土木建筑
航空航天
转基因
我要订阅楼主
xiaojixiong
的主题更新
2
1/1
返回列表
如果回帖内容含有宣传信息,请如实选中。否则帐号将被全论坛禁言
普通表情
龙
兔
虎
猫
百度网盘
|
360云盘
|
千易网盘
|
华为网盘
在新窗口页面中打开自己喜欢的网盘网站,将文件上传后,然后将下载链接复制到帖子内容中就可以了。
信息提示
关闭
请填处理意见
关闭
确定