| 查看: 1479 | 回复: 9 | ||
| 本帖产生 1 个 博学EPI ,点击这里进行查看 | ||
[求助]
【求助】如何解这样的方程组【有效期至2011年4月30日】
|
||
|
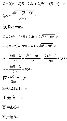
见图片: 如何求解这样的方程组,内含两个未知数,其中一个是角度,求matlab高手给出详细编程过程,其它求解过程也可以,只要给出详细的求解过程即可。 其中:L,R, r为已知, L=3600,R=600,r=200,求h和A 只有结果不予奖励,小木虫藏龙卧虎,期待高人指点!!! |
» 猜你喜欢
三甲基碘化亚砜的氧化反应
已经有4人回复
请问下大家为什么这个铃木偶联几乎不反应呢
已经有5人回复
请问有评职称,把科研教学业绩算分排序的高校吗
已经有5人回复
孩子确诊有中度注意力缺陷
已经有12人回复
2025冷门绝学什么时候出结果
已经有3人回复
天津工业大学郑柳春团队欢迎化学化工、高分子化学或有机合成方向的博士生和硕士生加入
已经有4人回复
康复大学泰山学者周祺惠团队招收博士研究生
已经有6人回复
AI论文写作工具:是科研加速器还是学术作弊器?
已经有3人回复
论文投稿,期刊推荐
已经有4人回复
硕士和导师闹得不愉快
已经有13人回复


2楼2011-04-18 22:41:34

3楼2011-04-18 22:57:57

4楼2011-04-18 23:27:09

5楼2011-04-18 23:57:59

6楼2011-04-19 15:35:10
【答案】应助回帖
20707311(金币+30): 先给5个,如果能给一个C程序,再把剩下的给你 2011-05-05 15:44:54
|
我也解一超越方程,这是Fortran的code! IMPLICIT REAL*8(A-H,O-Z) PARAMETER (Pi=3.1415926535,G=0.618) S=0.21240 EM=1.0E-5 DO I=1,8 Xn=Pi*(I+0.5) X2=0.5 X1=0.0 E2=2.0 333 IF(E2.GT.EM) THEN X=G*(X2-X1)+X1 Xv=Xn-X Y1=Xv-S Y2=TAN(Xv) E2=ABS(Y1-Y2) IF (Y1.GT.Y2) THEN X2=X ELSE X1=X ENDIF GOTO 333 ENDIF WRITE(*,*) X END DO END |

7楼2011-05-01 20:56:04

8楼2011-05-03 07:39:16

9楼2011-05-03 13:04:58

10楼2011-05-05 15:43:59














回复此楼
