²é¿´: 637  |  »Ø¸´: 3

angelous521

½ð³æ (СÓÐÃûÆø)

[ÇóÖú] matlabÇó½â·½³Ì×é

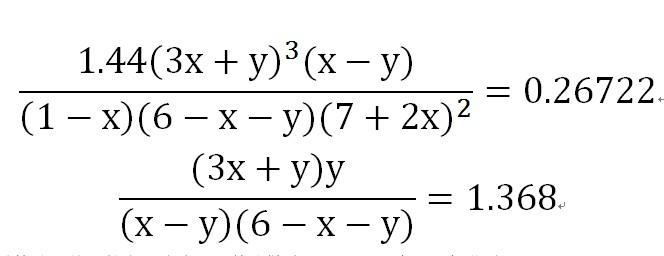
ÏëÖªµÀÏÂÃæÕâ¸ö·½³Ì×éÓÃmatlabÔõôÇó½â£¬¾ßÌåµÄ³ÌÐò´úÂëÊÇʲô°¡£¿¶àлÀ²¡£¡£

689A@%3{`Z%K(X1)_Y5C(}4.jpg

» ²ÂÄãϲ»¶

» ±¾Ö÷ÌâÏà¹Ø¼ÛÖµÌùÍÆ¼ö£¬¶ÔÄúͬÑùÓаïÖú:

ÒÑÔÄ   ¹Ø×¢TA ¸øTA·¢ÏûÏ¢ ËÍTAºì»¨ TAµÄ»ØÌû

·ÉÁúÔÚÌì3002

Ìú³æ (СÓÐÃûÆø)

¡¾´ð°¸¡¿Ó¦Öú»ØÌû

¡ï
06233053: ½ð±Ò-1, ÇóÖúÌû£¬ÇëÎð¹àË®¡£ 2012-12-12 15:46:11
ÕâÊÇÒþº¯Êý°¡¡£ÑÏÖØ¹Ø×¢£¡
2Â¥2012-11-29 21:47:56
ÒÑÔÄ   ¹Ø×¢TA ¸øTA·¢ÏûÏ¢ ËÍTAºì»¨ TAµÄ»ØÌû

angelous521

½ð³æ (СÓÐÃûÆø)

ÒýÓûØÌû:
2Â¥: Originally posted by ·ÉÁúÔÚÌì3002 at 2012-11-29 21:47:56
ÕâÊÇÒþº¯Êý°¡¡£ÑÏÖØ¹Ø×¢£¡

¶î£¬¾ßÌåÔõôÇó½â°¡£¿
3Â¥2012-12-01 19:36:50
ÒÑÔÄ   ¹Ø×¢TA ¸øTA·¢ÏûÏ¢ ËÍTAºì»¨ TAµÄ»ØÌû

Dawang16

ľ³æ (Ö°Òµ×÷¼Ò)

¡¾´ð°¸¡¿Ó¦Öú»ØÌû

ÓÃMatlab»­³öÁ½¸ö·½³Ì¶ÔÓ¦µÄÇúÏߣ¬È»ºóÕÒÁ½ÌõÇúÏߵĽ¹µã£¬»òÕß²ÉÓÃÖð´Î±Æ½üÇó½â£¬Ë¼Â·Ïàͬ£¬µ«ÊÇÕâÊÇÊýÖµ·½·¨£¬½âÎö·½·¨ÐèÒª×Ô¼º¶Ô·½³Ì»¯¼òºóÔÚ·ÖÎö£¡
4Â¥2012-12-01 20:02:59
ÒÑÔÄ   ¹Ø×¢TA ¸øTA·¢ÏûÏ¢ ËÍTAºì»¨ TAµÄ»ØÌû
Ïà¹Ø°æ¿éÌø×ª ÎÒÒª¶©ÔÄÂ¥Ö÷ angelous521 µÄÖ÷Ìâ¸üÐÂ
×î¾ßÈËÆøÈÈÌûÍÆ¼ö [²é¿´È«²¿] ×÷Õß »Ø/¿´ ×îºó·¢±í
[ÂÛÎÄͶ¸å] ÉêÇë»Ø¸åÑÓÆÚÒ»¸öÔ£¬±à¼­Í¬ÒâÁË¡£µ«ÏµÍ³ÉϵÄʱ¼äû±ä£¬¸ø±à¼­ÓÖдÓʼþÁË£¬Ã»»Ø¸´ 10+3 wangf9518 2026-03-17 4/200 2026-03-19 23:55 by babero
[¿¼ÑÐ] Ò»Ö¾Ô¸Öйúº£Ñó´óѧ£¬ÉúÎïѧ£¬301·Ö£¬Çóµ÷¼Á +5 1ËïÎò¿Õ 2026-03-17 6/300 2026-03-19 23:46 by zcl123
[¿¼ÑÐ] 294Çóµ÷¼Á²ÄÁÏÓ뻯¹¤×¨Ë¶ +14 ݤÎÉ­ÁÖ 2026-03-18 14/700 2026-03-19 22:38 by ѧԱ8dgXkO
[¿¼ÑÐ] 296Çóµ÷¼Á +3 www_q 2026-03-18 6/300 2026-03-19 22:28 by zhq0425
[¿¼²©] ¶«»ªÀí¹¤´óѧ»¯²Äרҵ26½ì˶ʿ²©Ê¿ÉêÇë +8 zlingli 2026-03-13 8/400 2026-03-19 16:32 by ÇáËɲ»ÉÙËæ
[¿¼ÑÐ] ÕÐÊÕµ÷¼Á˶ʿ +4 lidianxing 2026-03-19 10/500 2026-03-19 16:05 by Óà÷ëÓà
[¿¼ÑÐ] 085601²ÄÁϹ¤³Ìר˶Çóµ÷¼Á +10 Ľº®mio 2026-03-16 10/500 2026-03-19 15:26 by ¶¡¶¡*
[¿¼ÑÐ] 085600²ÄÁÏÓ뻯¹¤Çóµ÷¼Á +6 Ð÷ÐÒÓë×Ó 2026-03-17 6/300 2026-03-19 13:27 by houyaoxu
[¿¼ÑÐ] 328Çóµ÷¼Á£¬Ó¢ÓïÁù¼¶551£¬ÓпÆÑо­Àú +4 ÉúÎ﹤³Ìµ÷¼Á 2026-03-16 12/600 2026-03-19 11:10 by ÉúÎ﹤³Ìµ÷¼Á
[¿¼ÑÐ] ²ÄÁÏ080500µ÷¼ÁÇóÊÕÁô +4 Ò»¿Åmeteor 2026-03-13 4/200 2026-03-19 10:32 by 30660438
[¿¼ÑÐ] 302Çóµ÷¼Á +10 ºôºôºô¡£¡£¡£¡£ 2026-03-17 10/500 2026-03-18 12:45 by Linda Hu
[¿¼ÑÐ] 0703»¯Ñ§µ÷¼Á +3 ÄÝÄÝninicgb 2026-03-17 3/150 2026-03-18 10:29 by macy2011
[¿¼ÑÐ] ÉúÎïѧ071000 329·ÖÇóµ÷¼Á +3 ÎÒ°®ÉúÎïÉúÎﰮΠ2026-03-17 3/150 2026-03-18 10:12 by macy2011
[¿¼ÑÐ] 0703»¯Ñ§336·ÖÇóµ÷¼Á +6 zbzihdhd 2026-03-15 7/350 2026-03-18 09:53 by zhukairuo
[¿¼ÑÐ] 265Çóµ÷¼Á +3 ÁºÁºÐ£Ð£ 2026-03-17 3/150 2026-03-18 09:12 by zhukairuo
[¿¼ÑÐ] 274Çóµ÷¼Á +5 ʱ¼äµã 2026-03-13 5/250 2026-03-17 07:34 by ÈÈÇéɳĮ
[¿¼ÑÐ] »úеר˶325£¬Ñ°ÕÒµ÷¼ÁԺУ +3 y9999 2026-03-15 5/250 2026-03-16 19:58 by y9999
[¿¼ÑÐ] 294Çóµ÷¼Á +3 Zys010410@ 2026-03-13 4/200 2026-03-15 10:59 by zhq0425
[¿¼ÑÐ] 080500£¬²ÄÁÏѧ˶302·ÖÇóµ÷¼ÁѧУ +4 ³õʶ¿ÉÀÖ 2026-03-14 5/250 2026-03-14 21:08 by peike
[¿¼ÑÐ] 289Çóµ÷¼Á +4 ÕâôÃû×ÖÕ¦Ñù 2026-03-14 6/300 2026-03-14 18:58 by userper
ÐÅÏ¢Ìáʾ
ÇëÌî´¦ÀíÒâ¼û