| ²é¿´: 1711 | »Ø¸´: 13 | |||
dfw1220ͳæ (³õÈëÎÄ̳)
|
[ÇóÖú]
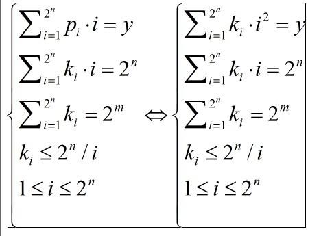
ÇóÖúmatlab½â·ÇÏßÐԹ滮¡£Çó´úÂë¡£
|
||
|
|
|||
| »ØÌûÖö¥ ( ¹²ÓÐ2¸ö ) | |||
dfw1220ͳæ (³õÈëÎÄ̳)
|
|||
|
2Â¥2012-06-27 10:47:04
|
|
||
dfw1220ͳæ (³õÈëÎÄ̳)
|
|||
|
11Â¥2012-06-28 11:30:37
|
|
||
| ÆÕͨ»ØÌû | |||
dfw1220ͳæ (³õÈëÎÄ̳)
|
|||
|
3Â¥2012-06-27 12:07:09
|
|
||
dingdÌú¸Ëľ³æ (Ö°Òµ×÷¼Ò)
|
¡¾´ð°¸¡¿Ó¦Öú»ØÌû
¡ï ¡ï ¡ï ¡ï ¡ï ¡ï ¡ï ¡ï ¡ï ¡ï ¡ï ¡ï ¡ï ¡ï ¡ï ¡ï
¸Ðл²ÎÓ룬ӦÖúÖ¸Êý +1 dfw1220: ½ð±Ò+15, ¡ï¡ï¡ïºÜÓаïÖú, ËäÈ»²»ÊÇmatlab£¬µ«Ò²ÊǸøÁËÒ»¸ö´ð°¸µÄ·½·¨ 2012-06-28 08:30:10 dbb627: ½ð±Ò+1, »¶Ó½»Á÷ 2012-06-30 17:56:54
|
||
|
4Â¥2012-06-27 15:18:53
|
|
||
dfw1220ͳæ (³õÈëÎÄ̳)
|
|||
|
5Â¥2012-06-27 16:00:47
|
|
||
dingdÌú¸Ëľ³æ (Ö°Òµ×÷¼Ò)
|
|||
|
6Â¥2012-06-27 20:42:02
|
|
||
dfw1220ͳæ (³õÈëÎÄ̳)
|
|||
|
7Â¥2012-06-27 21:22:54
|
|
||
dingdÌú¸Ëľ³æ (Ö°Òµ×÷¼Ò)
|
|||
|
8Â¥2012-06-27 21:38:35
|
|
||
dfw1220ͳæ (³õÈëÎÄ̳)
|
|
||
|
9Â¥2012-06-28 08:29:09
|
|
||
csgt0ÈÙÓþ°æÖ÷ (ÖøÃûдÊÖ)
²ÊÉ«¹Òͼ
|
|||
![]() |
|||
|
10Â¥2012-06-28 11:15:56
|
|
||














»Ø¸´´ËÂ¥

