| 查看: 1361 | 回复: 3 | ||
[求助]
关于根据电子衍射图样求六角晶系轴长比c/a的问题
|
||
|
|
||
|
2楼2012-04-09 09:28:57
|
|
|
![]() |
||
|
3楼2012-04-10 16:13:31
|
|
|
hanhaixf-77铁杆木虫 (著名写手)
|
【答案】应助回帖
★
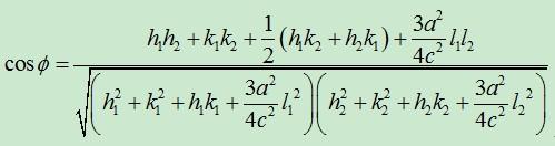
感谢参与,应助指数 +1 situxuming: 金币+1, ★有帮助, 老早就看到你的回答了,但是一直以来都不认同你的回答,如果是误差造成的话,至少得到的解是应该在一定的范围之内的,比如c/a在1.6附近,上下波动比较大(比如1.5,或者1.7等等)那也是可以理解的,不可能像现在这样求得的c/a的值完全就是正常轴长比的倒数的关系。直到最近重新好好研究了番六角晶系中密勒-布喇菲指数跟密勒指数的关系,发现自己过去一直对一个概念搞错了,那就是在六角晶系中晶向四指数跟三指数的转换同晶面四指数跟三指数的转化是不同的。过去一直将晶向三、四指数的转化关系拿来转化镜面三、四指数,所以才会出现这般一个问题。今天自己再重新用正确的转化关系得到镜面的三指数,代进公式计算得到c/a=1.55,这样就对了,虽然误差很大。不过还是多谢你的回答!^_^ 2012-06-05 11:25:02
|
|
|
4楼2012-04-15 11:41:07
|
|














回复此楼
