| ²é¿´: 845 | »Ø¸´: 14 | |||
Ö¥Ö¥»¨Í³æ (³õÈëÎÄ̳)
|
[ÇóÖú]
Çó½â΢·Ö·½³Ì
|
|
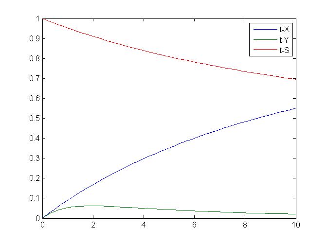
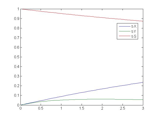
Çó½â΢·Ö·½³Ì¡£ ¼±£¡ µ±t=0ʱ,X=0,Y=0,S=1 dX/dt=[4.36S(1-X)-1.61XY]/(5.8X+1.8Y+15.2S+29.8) dY/dt=dX/dt-2.26Y/(Y+2S) 2dS/dt=-dX/dt-0.012S/(Y+2S)[ Last edited by dbb627 on 2011-11-16 at 16:00 ] |
» ±¾ÌûÒÑ»ñµÃµÄºì»¨£¨×îÐÂ10¶ä£©
» ²ÂÄãϲ»¶
ÖØÇì½»´ó26Äê˶ʿÉúÕÐÉúÄâµ÷¼Á֪ͨÒѳö£¡»¶Ó¼ÓÈë¹â×Óѧ΢½á¹¹ÓëÆ÷¼þ¿ÎÌâ×é¡£
ÒѾÓÐ0È˻ظ´
UJNÎïÀíѧרҵµ÷¼Á
ÒѾÓÐ12È˻ظ´
ÎïÀíѧIÂÛÎÄÈóÉ«/·ÒëÔõôÊÕ·Ñ?
ÒѾÓÐ233È˻ظ´
±±¾©ÄÉÃ×ÄÜÔ´ÓëϵͳÑо¿ËùÍõÖÐÁÖԺʿ/²ÜÄÏÓ±Ñо¿Ô±¿ÎÌâ×éÕÐÊÕ2026˶ʿÑо¿Éú1Ãû
ÒѾÓÐ0È˻ظ´
ɽÎ÷´óͬ´óѧÎïÀíѧ˶ʿÑо¿ÉúÕÐÊÕµ÷¼ÁÉú
ÒѾÓÐ0È˻ظ´
[µ÷¼ÁÐÅÏ¢]211ÖÇÄÜÈ˹¤¸ÐÖª·½Ïò¹ú¼ÒÇàÄêÌØÆ¸×¨¼Ò¿ÎÌâ×éÕÐÊÕµ÷¼ÁÑо¿Éú
ÒѾÓÐ0È˻ظ´
£Ûµ÷¼ÁÐÅÏ¢£Ý211ÖÇÄÜÈ˹¤¸ÐÖª·½Ïò¹ú¼ÒÇàÄêÌØÆ¸×¨¼Ò¿ÎÌâ×éÕÐÊÕµ÷¼ÁÑо¿Éú
ÒѾÓÐ0È˻ظ´
[µ÷¼ÁÐÅÏ¢]211ÖÇÄÜÈ˹¤¸ÐÖª·½Ïò¹ú¼ÒÇàÄêÌØÆ¸×¨¼Ò¿ÎÌâ×éÕÐÊÕµ÷¼ÁÑо¿Éú
ÒѾÓÐ0È˻ظ´
Ò»Ö¾Ô¸ÎïÀíËùÄý¾Û̬ÎïÀí352Çóµ÷¼Á
ÒѾÓÐ0È˻ظ´
0702Ò»Ö¾Ô¸¼ª´óBÇøÇóµ÷¼Á ±¾¿ÆÆÚ¼ä·¢±íһƪSci
ÒѾÓÐ1È˻ظ´
» ±¾Ö÷ÌâÏà¹Ø¼ÛÖµÌùÍÆ¼ö£¬¶ÔÄúͬÑùÓаïÖú:
MatlabÇó½âƫ΢·Ö·½³Ì×é
ÒѾÓÐ22È˻ظ´
ÒþʽŷÀ·¨Çó½âÒ»½×³£Î¢·Ö·½³Ì
ÒѾÓÐ7È˻ظ´
Çó½âÒ»¸ö΢·Ö·½³Ì£¬Ð»Ð»¡£
ÒѾÓÐ11È˻ظ´
ÇëÎÊÈçºÎÇó½â¶þÔªÒ»½×΢·Ö·½³Ì×é
ÒѾÓÐ24È˻ظ´
°ïæÇó½âÒ»µÀ΢·Ö·½³ÌµÄÌâÄ¿
ÒѾÓÐ7È˻ظ´
ÓÃMATLAB ode45Çó½â2½×΢·Ö·½³Ì
ÒѾÓÐ4È˻ظ´
¡¾ÇóÖú¡¿matlab Çó½â΢·Ö·½³ÌÖеÄδ֪²ÎÊý
ÒѾÓÐ20È˻ظ´
¡¾ÇóÖú¡¿Ïò¸÷λ´óÏÀÇóÖúmatlabÇó½â΢·Ö·½³Ì×éÓöµ½µÄÒ»¸öÎÊÌâ
ÒѾÓÐ21È˻ظ´
¡¾ÇóÖú¡¿ÓÃpdepeÇó½âƫ΢·Ö·½³Ì
ÒѾÓÐ10È˻ظ´
¡¾ÇóÖú¡¿MATLAB ÓÐÏÞ²î·Ö·¨£¨FDM£©Çó½âƫ΢·Ö·½³Ì
ÒѾÓÐ22È˻ظ´
¡¾ÇóÖú¡¿»ý·Ö΢·Ö·½³ÌmatlabÇó½â
ÒѾÓÐ6È˻ظ´
¡¾ÇóÖú¡¿Python ÖÐ Çó½â΢·Ö·½³Ì odeint µÄÓ÷¨
ÒѾÓÐ11È˻ظ´
¡¾ÇóÖú¡¿matlabÔõôÇó½âƫ΢·Ö·½³Ì×é°¡£¬ÏÈллÁË
ÒѾÓÐ13È˻ظ´
¡¾ÇóÖú¡¿Çó½ÌÕâÖÖ΢·Ö·½³ÌµÄÏêϸÇó½â¹ý³Ì
ÒѾÓÐ14È˻ظ´
dbb627
ÈÙÓþ°æÖ÷ (ÖøÃûдÊÖ)
-

ר¼Ò¾Ñé: +4 - ¼ÆËãÇ¿Ìû: 12
- Ó¦Öú: 289 (´óѧÉú)
- ¹ó±ö: 0.589
- ½ð±Ò: 24640.4
- É¢½ð: 551
- ºì»¨: 61
- ɳ·¢: 1
- Ìû×Ó: 1246
- ÔÚÏß: 1794.8Сʱ
- ³æºÅ: 149791
- ×¢²á: 2005-12-29
- ÐÔ±ð: GG
- רҵ: ÎÛȾ¿ØÖÆ»¯Ñ§
- ¹ÜϽ: ¼ÆËãÄ£Äâ

2Â¥2011-11-16 16:22:28
Ö¥Ö¥»¨
ͳæ (³õÈëÎÄ̳)
- Ó¦Öú: 0 (Ó×¶ùÔ°)
- ½ð±Ò: 77.6
- Ìû×Ó: 48
- ÔÚÏß: 80.7Сʱ
- ³æºÅ: 1042403
- ×¢²á: 2010-06-16
- ÐÔ±ð: MM
- רҵ: ·ÖÀë¹ý³Ì
3Â¥2011-11-16 17:25:52
Ö¥Ö¥»¨
ͳæ (³õÈëÎÄ̳)
- Ó¦Öú: 0 (Ó×¶ùÔ°)
- ½ð±Ò: 77.6
- Ìû×Ó: 48
- ÔÚÏß: 80.7Сʱ
- ³æºÅ: 1042403
- ×¢²á: 2010-06-16
- ÐÔ±ð: MM
- רҵ: ·ÖÀë¹ý³Ì
4Â¥2011-11-16 17:28:23
dbb627
ÈÙÓþ°æÖ÷ (ÖøÃûдÊÖ)
-

ר¼Ò¾Ñé: +4 - ¼ÆËãÇ¿Ìû: 12
- Ó¦Öú: 289 (´óѧÉú)
- ¹ó±ö: 0.589
- ½ð±Ò: 24640.4
- É¢½ð: 551
- ºì»¨: 61
- ɳ·¢: 1
- Ìû×Ó: 1246
- ÔÚÏß: 1794.8Сʱ
- ³æºÅ: 149791
- ×¢²á: 2005-12-29
- ÐÔ±ð: GG
- רҵ: ÎÛȾ¿ØÖÆ»¯Ñ§
- ¹ÜϽ: ¼ÆËãÄ£Äâ

5Â¥2011-11-16 18:51:45
Ö¥Ö¥»¨
ͳæ (³õÈëÎÄ̳)
- Ó¦Öú: 0 (Ó×¶ùÔ°)
- ½ð±Ò: 77.6
- Ìû×Ó: 48
- ÔÚÏß: 80.7Сʱ
- ³æºÅ: 1042403
- ×¢²á: 2010-06-16
- ÐÔ±ð: MM
- רҵ: ·ÖÀë¹ý³Ì
6Â¥2011-11-16 19:00:16
Ö¥Ö¥»¨
ͳæ (³õÈëÎÄ̳)
- Ó¦Öú: 0 (Ó×¶ùÔ°)
- ½ð±Ò: 77.6
- Ìû×Ó: 48
- ÔÚÏß: 80.7Сʱ
- ³æºÅ: 1042403
- ×¢²á: 2010-06-16
- ÐÔ±ð: MM
- רҵ: ·ÖÀë¹ý³Ì
7Â¥2011-11-16 19:02:38
Ö¥Ö¥»¨
ͳæ (³õÈëÎÄ̳)
- Ó¦Öú: 0 (Ó×¶ùÔ°)
- ½ð±Ò: 77.6
- Ìû×Ó: 48
- ÔÚÏß: 80.7Сʱ
- ³æºÅ: 1042403
- ×¢²á: 2010-06-16
- ÐÔ±ð: MM
- רҵ: ·ÖÀë¹ý³Ì
8Â¥2011-11-16 19:15:00
dbb627
ÈÙÓþ°æÖ÷ (ÖøÃûдÊÖ)
-

ר¼Ò¾Ñé: +4 - ¼ÆËãÇ¿Ìû: 12
- Ó¦Öú: 289 (´óѧÉú)
- ¹ó±ö: 0.589
- ½ð±Ò: 24640.4
- É¢½ð: 551
- ºì»¨: 61
- ɳ·¢: 1
- Ìû×Ó: 1246
- ÔÚÏß: 1794.8Сʱ
- ³æºÅ: 149791
- ×¢²á: 2005-12-29
- ÐÔ±ð: GG
- רҵ: ÎÛȾ¿ØÖÆ»¯Ñ§
- ¹ÜϽ: ¼ÆËãÄ£Äâ

9Â¥2011-11-16 19:18:19
Ö¥Ö¥»¨
ͳæ (³õÈëÎÄ̳)
- Ó¦Öú: 0 (Ó×¶ùÔ°)
- ½ð±Ò: 77.6
- Ìû×Ó: 48
- ÔÚÏß: 80.7Сʱ
- ³æºÅ: 1042403
- ×¢²á: 2010-06-16
- ÐÔ±ð: MM
- רҵ: ·ÖÀë¹ý³Ì
10Â¥2011-11-16 19:21:42














»Ø¸´´ËÂ¥
Ö¥Ö¥»¨