| 查看: 2138 | 回复: 15 | ||
[求助]
请教:检测反应进行程度的方法
|
|
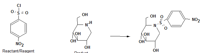
各位大侠好! 我想用HPLC-UV分析植物中DNJ的含量,因DNJ在紫外下无吸收,先用对硝基苯磺酰氯进行柱前衍生,然后测定,选定溶剂为甲醇,碱为碳酸氢钠,反应如下:但不知该如何检测这个反应是否发生,以及反应是否进行完全?不知各位大侠是否有好的检测方法,具体该怎么操作?敬请赐教!不胜感激! |
» 猜你喜欢
0703调剂,一志愿天津大学319分
已经有18人回复
一志愿211,化学学硕,310分,本科重点双非,求调剂
已经有10人回复
334分机械专硕求调剂
已经有3人回复
本科郑州大学,一志愿华东师范大学282求调剂
已经有16人回复
305分求调剂
已经有5人回复
一志愿北京化工085600 310分求调剂
已经有21人回复
化工学硕 285求调剂
已经有15人回复
328求调剂
已经有5人回复
材料调剂
已经有9人回复
081700学硕,323分,一志愿中国海洋大学求调剂学校
已经有18人回复
» 本主题相关价值贴推荐,对您同样有帮助:
TLC检测反应,原料点与产物点基本重合,如何鉴别是否反应完全了?
已经有26人回复
请问我们系里应该买什么样的分析测定仪器?
已经有14人回复
请教处理监测数据的方法和所使用的软件
已经有3人回复
间硝基苯磺酰氯检测方法
已经有3人回复
催化反应需要测量产率-时间关系,如何在不同时间取样做色谱?
已经有3人回复
洗洁精的检测方法
已经有3人回复
质粒提取后的检测方法
已经有8人回复
HPLC柱前衍生化的方法学建立
已经有5人回复
GC/MS中硅烷化试剂衍生样品的具体步骤
已经有7人回复
谁知道磺酰氯的检测方法啊?气相色谱的方法,
已经有3人回复
懂酚羟基硅烷化衍生的请进!
已经有15人回复
看看大家怎么翻译 这对甲苯磺酰氯和碳酸氢钠的料怎么加的
已经有18人回复
酰氯怎么做气相?
已经有27人回复
请问中药提取液进液相的问题~~~谢谢啦
已经有9人回复
氨基磺酰氯的检测
已经有4人回复
气相响应值不稳定问题
已经有8人回复
反应进行的程度α叫什么?
已经有3人回复
求助:螯合反应进行程度的检测方法?
已经有4人回复
3-硝基苯磺酸 水解的产物
已经有3人回复
怎么样测量磺化反应的反应程度?
已经有10人回复
【求助】酰氯的检测
已经有10人回复
【求助】酰氯的分析方法
已经有12人回复

2楼2011-07-31 19:01:53
3楼2011-07-31 19:39:57
yukepotato
金虫 (正式写手)
美猴王
- 应助: 146 (高中生)
- 金币: 1145.8
- 红花: 2
- 帖子: 697
- 在线: 86.2小时
- 虫号: 1083925
- 注册: 2010-08-28
- 性别: GG
- 专业: 色谱分析

4楼2011-07-31 21:07:43
jsys
荣誉版主 (著名写手)
博洋Lab
- 应助: 7 (幼儿园)
- 贵宾: 2.631
- 金币: 3561.7
- 散金: 326
- 红花: 11
- 帖子: 1448
- 在线: 81.6小时
- 虫号: 641302
- 注册: 2008-10-30
- 性别: GG
- 专业: 有机分析
- 管辖: 分析
5楼2011-07-31 22:55:12
6楼2011-07-31 23:27:33
408851978
木虫 (著名写手)
道圣
- 应助: 156 (高中生)
- 贵宾: 0.493
- 金币: 4565.1
- 散金: 688
- 红花: 9
- 帖子: 1603
- 在线: 286小时
- 虫号: 813898
- 注册: 2009-07-22
- 性别: GG
- 专业: 有机化工

7楼2011-08-01 07:50:45
8楼2011-08-01 10:44:35
408851978
木虫 (著名写手)
道圣
- 应助: 156 (高中生)
- 贵宾: 0.493
- 金币: 4565.1
- 散金: 688
- 红花: 9
- 帖子: 1603
- 在线: 286小时
- 虫号: 813898
- 注册: 2009-07-22
- 性别: GG
- 专业: 有机化工

9楼2011-08-01 11:10:17

10楼2011-08-07 20:49:44














回复此楼