| 查看: 3176 | 回复: 13 | ||
[求助]
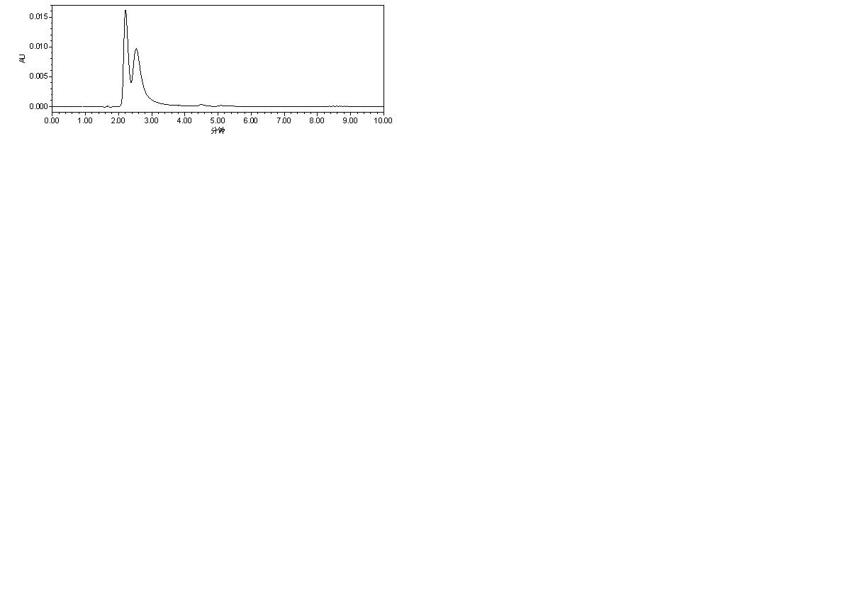
HPLC一种标准物品,出现两个峰是怎么回事?
|
||
![]() |
||
|
|
||
av0114木虫 (著名写手)
|
||
![]() |
||
|
2楼2011-04-18 15:59:48
|
|
|
![]() |
||
|
3楼2011-04-18 16:05:12
|
|
|
lemonin2008铁杆木虫 (正式写手)
|
||
|
4楼2011-04-18 16:19:11
|
|
|
av0114木虫 (著名写手)
|
||
![]() |
||
|
5楼2011-04-18 16:23:35
|
|
|
|
neverstop(金币+3): 2011-04-18 17:01:10
|
||
|
6楼2011-04-18 16:30:52
|
|
|
fanxb006木虫 (正式写手)
|
||
|
7楼2011-04-18 19:23:16
|
|
|
![]() |
||
|
8楼2011-04-19 15:29:58
|
|
|
dreamsnow200428
|
||
|
9楼2011-04-19 15:53:17
|
|
|
|
10楼2011-04-20 16:11:43
|
|














回复此楼
