版块导航
正在加载中...
客户端APP下载
论文辅导
申博辅导
登录
注册
帖子
帖子
用户
本版
应《网络安全法》要求,自2017年10月1日起,未进行实名认证将不得使用互联网跟帖服务。为保障您的帐号能够正常使用,请尽快对帐号进行手机号验证,感谢您的理解与支持!
24小时热门版块排行榜
>
论坛更新日志
(2961)
>
虫友互识
(279)
>
文献求助
(219)
>
导师招生
(196)
>
考博
(115)
>
论文投稿
(110)
>
休闲灌水
(85)
>
论文道贺祈福
(47)
>
博后之家
(46)
>
硕博家园
(41)
>
基金申请
(35)
>
教师之家
(33)
>
绿色求助(高悬赏)
(25)
>
公派出国
(25)
>
招聘信息布告栏
(23)
>
考研
(23)
小木虫论坛-学术科研互动平台
»
专业学科区
»
数学
»
基础数学
»
【求助】一道关于极限的数学题
2
1/1
返回列表
查看: 679 | 回复: 1
只看楼主
@他人
存档
新回复提醒
(忽略)
收藏
在APP中查看
inhaul
新虫
(正式写手)
数学EPI: 1
应助: 38
(小学生)
贵宾: 0.001
金币: 6972.5
帖子: 796
在线: 584.6小时
虫号: 1011659
[交流]
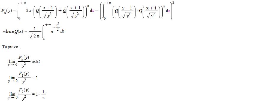
【求助】一道关于极限的数学题
题目如下图,请高手帮助,谢谢!
回复此楼
» 猜你喜欢
拟解决的关键科学问题还要不要写
已经有8人回复
存款400万可以在学校里躺平吗
已经有26人回复
最失望的一年
已经有7人回复
推荐一本书
已经有16人回复
国自然申请面上模板最新2026版出了吗?
已经有20人回复
26申博
已经有3人回复
请教限项目规定
已经有3人回复
基金委咋了?2026年的指南还没有出来?
已经有10人回复
基金申报
已经有6人回复
疑惑?
已经有5人回复
高级回复
» 本主题相关价值贴推荐,对您同样有帮助:
极限问题
已经有8人回复
求助给位哥哥姐姐,关于数二复习问题
已经有31人回复
高手赐教数学极限考研真题
已经有6人回复
问个泛函分析的问题, 有关序列极限,略难。。。
已经有13人回复
毕设,数学相关专业,求指导!
已经有18人回复
高数中求极限的16种方法 希望对大家的学习有用
已经有23人回复
求助一个数列极限问题?
已经有7人回复
前辈高手告诉你考研数学笔记该怎么做才好?
已经有14人回复
求助一道极限题
已经有6人回复
【求助】一道求极限的题目
已经有8人回复
【求助】集列的上下极限的三个问题?请大虾解答
已经有14人回复
【求助】关于中心极限定理(central limit theorem)
已经有8人回复
» 抢金币啦!回帖就可以得到:
查看全部散金贴
大龄博士征婚
+
1
/617
南京大学能源与资源学院-景旭东教授 (英国皇家工程院院士) 团队博士后招聘
+
1
/473
深圳大学水科学中心HydroS课题组招收化学/环境相关专业博士生1名(2026年入学)
+
1
/81
哈尔滨工业大学王东博课题组/中科院上海微系统所梁丽娟课题组招收2026年博士生1名
+
1
/79
哈尔滨工业大学王东博课题组/中科院上海微系统所梁丽娟课题组招收2026年博士生1名
+
1
/70
西工大可塑性液体材料课题组招收软物质、流体力学、细胞工程等背景博士生
+
1
/34
智合健物课题组2026年博士生招生(湖北工业大学)
+
1
/33
【教授本人】南佛罗里达大学化学系刘文奇课题组 2026 Fall 招收有机/超分子方向博士生
+
1
/32
26博士申请-药物化学方向
+
2
/22
中国科学院大连化学物理研究所-环境催化工程研究组(DNL 902组)事业编外项目聘用人员
+
2
/18
电子科技大学「基础与前沿研究院」文明健老师课题组招收博士
+
1
/12
北京工业大学高靓教授课题组2026级博士研究生招生
+
1
/10
浙江大学赵俊杰课题组长期招聘博士后及科研相关岗位启事
+
1
/9
南京邮电大学-材料院尹超教授课题组-诚聘材料、化学、生物医学博士后(长期有效)
+
1
/8
香港科技大学 招生 2026 Fall全奖博士 -- 机械/电子/材料/化学
+
1
/8
2026 年南方医科大学基础医学院李琳课题组招收“申请-审核” 博士研究生
+
1
/6
香港理工大学 航空服务研究中心asrc 博士后招聘
+
1
/6
山东师范大学海外优青(校长团队)招聘硕士/博士/博后
+
1
/4
南开大学电子信息与光学工程学院拟招收电子科学与技术博士研究生1名 (2026年9月入学)
+
1
/3
福建师范大学国家级人才团队招收2026年博士研究生2名
+
1
/2
1楼
2011-02-18 14:14:36
已阅
回复此楼
关注TA
给TA发消息
送TA红花
TA的回帖
inhaul
新虫
(正式写手)
数学EPI: 1
应助: 38
(小学生)
贵宾: 0.001
金币: 6972.5
帖子: 796
在线: 584.6小时
虫号: 1011659
期待高手的帮助
回复此楼
2楼
2011-02-19 12:00:31
已阅
回复此楼
关注TA
给TA发消息
送TA红花
TA的回帖
相关版块跳转
数理科学综合
机械
物理
数学
农林
食品
地学
能源
信息科学
土木建筑
航空航天
转基因
我要订阅楼主
inhaul
的主题更新
2
1/1
返回列表
如果回帖内容含有宣传信息,请如实选中。否则帐号将被全论坛禁言
普通表情
龙
兔
虎
猫
高级回复
(可上传附件)
百度网盘
|
360云盘
|
千易网盘
|
华为网盘
在新窗口页面中打开自己喜欢的网盘网站,将文件上传后,然后将下载链接复制到帖子内容中就可以了。
信息提示
关闭
请填处理意见
关闭
确定