| ²é¿´: 1368 | »Ø¸´: 7 | ||
xutoddÒø³æ (СÓÐÃûÆø)
|
[ÇóÖú]
ÇóÖúÒ»¸öÊýÁм«ÏÞÎÊÌ⣿
|
|
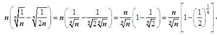
Çó¼«ÏÞ n [ (1/n)^{1/n}-(1/2n)^{1/n}] (n->ÕýÎÞÇî´ó) лл1 [ Last edited by xutodd on 2011-10-16 at 11:53 ] |
» ²ÂÄãϲ»¶
271²ÄÁϹ¤³ÌÇóµ÷¼Á
ÒѾÓÐ5È˻ظ´
281Çóµ÷¼Á£¨0805£©
ÒѾÓÐ16È˻ظ´
304Çóµ÷¼Á
ÒѾÓÐ6È˻ظ´
²ÄÁϹ¤³Ìר˶µ÷¼Á
ÒѾÓÐ6È˻ظ´
Ò»Ö¾Ô¸Ìì´ó²ÄÁÏÓ뻯¹¤£¨085600£©×Ü·Ö338
ÒѾÓÐ4È˻ظ´
085700×ÊÔ´Óë»·¾³308Çóµ÷¼Á
ÒѾÓÐ3È˻ظ´
Çó²ÄÁϵ÷¼Á
ÒѾÓÐ8È˻ظ´
294Çóµ÷¼Á²ÄÁÏÓ뻯¹¤×¨Ë¶
ÒѾÓÐ5È˻ظ´
Ò»Ö¾Ô¸»ªÖпƼ¼´óѧ£¬080502£¬354·ÖÇóµ÷¼Á
ÒѾÓÐ4È˻ظ´
Ò»Ö¾Ô¸¼ªÁÖ´óѧ²ÄÁÏѧ˶321Çóµ÷¼Á
ÒѾÓÐ6È˻ظ´
» ±¾Ö÷ÌâÏà¹Ø¼ÛÖµÌùÍÆ¼ö£¬¶ÔÄúͬÑùÓаïÖú:
ÇóÖúÒ»¸ö½Ì²ÄÉϵĻù±¾ÎÊÌâ
ÒѾÓÐ4È˻ظ´
8½ð±ÒÇóÖúÒ»¸ö¸ÅÂʵÄСÎÊÌâ
ÒѾÓÐ3È˻ظ´
ÇóÖúwaters¸ßЧҺÏàµÄÒ»¸öÎÊÌâ¡£
ÒѾÓÐ7È˻ظ´
¡¾ÇóÖú¡¿¼¯ÁеÄÉÏϼ«ÏÞµÄÈý¸öÎÊÌ⣿Çë´óϺ½â´ð
ÒѾÓÐ14È˻ظ´
¡¾ÇóÖú¡¿¿´ÎÄÏ×ÖÐÓöµ½Ò»¸öÎÊÌ⣬Çë½Ì¸÷λ´óϺ!
ÒѾÓÐ10È˻ظ´
¡¾ÇóÖú/½»Á÷¡¿¹ØÓÚRNAiµÄÒ»¸öÎÊÌâ
ÒѾÓÐ10È˻ظ´
¡¾ÇóÖú¡¿Ò»¸ö¶ÔÎÒÀ´ËµºÜ¾À½áµÄÎÊÌâ
ÒѾÓÐ12È˻ظ´
¡¾ÇóÖú¡¿VCµÄÒ»¸öСÎÊÌâ
ÒѾÓÐ30È˻ظ´
¡¾ÇóÖú¡¿Çó½ÌÒ»¸öÉÏÈ©»ùµÄÎÊÌâ
ÒѾÓÐ18È˻ظ´
¡¾ÇóÖú¡¿Ò»¸ö¶þÖØ»ý·ÖÎÊÌ⡾Òѽâ¾ö¡¿
ÒѾÓÐ17È˻ظ´
¡¾ÇóÖú¡¿Çë½ÌÒ»¸öÊý¾Ý´¦ÀíÎÊÌâ
ÒѾÓÐ11È˻ظ´
just_play
ÖÁ×ðľ³æ (ÕýʽдÊÖ)
- ÊýѧEPI: 12
- Ó¦Öú: 6 (Ó×¶ùÔ°)
- ¹ó±ö: 0.1
- ½ð±Ò: 11813.8
- É¢½ð: 1210
- ºì»¨: 1
- Ìû×Ó: 688
- ÔÚÏß: 667.1Сʱ
- ³æºÅ: 837886
- ×¢²á: 2009-09-01
- ÐÔ±ð: GG
- רҵ: Äý¾Û̬ÎïÐÔ II £ºµç×ӽṹ
¡¾´ð°¸¡¿Ó¦Öú»ØÌû
¡ï ¡ï ¡ï
soliton923: Ê®·Ö¸Ðлר¼ÒµÄ»Ø´ð~~ÎÒÒ²ÊÇÕâÑùÏëµÄ~~ºÇºÇ 2011-10-16 23:37:16
СÓêÃÈÃÈ(½ð±Ò+3): 3Q 2011-10-19 13:23:31
soliton923: Ê®·Ö¸Ðлר¼ÒµÄ»Ø´ð~~ÎÒÒ²ÊÇÕâÑùÏëµÄ~~ºÇºÇ 2011-10-16 23:37:16
СÓêÃÈÃÈ(½ð±Ò+3): 3Q 2011-10-19 13:23:31

2Â¥2011-10-16 13:50:44
xuyx_78
½ð³æ (СÓÐÃûÆø)
- Ó¦Öú: 39 (СѧÉú)
- ½ð±Ò: 1714.5
- ºì»¨: 1
- Ìû×Ó: 176
- ÔÚÏß: 80.3Сʱ
- ³æºÅ: 1385856
- ×¢²á: 2011-09-01
- רҵ: ¼ÆËãÊýѧÓë¿ÆÑ§¹¤³Ì¼ÆËã
¡¾´ð°¸¡¿Ó¦Öú»ØÌû
¡ï ¡ï ¡ï
soliton923: Ê®·Ö¸Ðл~~Õý½â£¡£¡Õâ¸ö·½·¨Ã»ÓÐÏëµ½~~ºÇºÇ~~ÒªÊÇûÓÐѧÂޱȴïµÄ»°£¬¿ÉÄÜ»áÏëÒ»Ïë~~ 2011-10-16 23:38:22
СÓêÃÈÃÈ(½ð±Ò+3): лл¹Ø×¢~ 2011-10-19 13:24:06
soliton923: Ê®·Ö¸Ðл~~Õý½â£¡£¡Õâ¸ö·½·¨Ã»ÓÐÏëµ½~~ºÇºÇ~~ÒªÊÇûÓÐѧÂޱȴïµÄ»°£¬¿ÉÄÜ»áÏëÒ»Ïë~~ 2011-10-16 23:38:22
СÓêÃÈÃÈ(½ð±Ò+3): лл¹Ø×¢~ 2011-10-19 13:24:06
3Â¥2011-10-16 14:55:34
xuyx_78
½ð³æ (СÓÐÃûÆø)
- Ó¦Öú: 39 (СѧÉú)
- ½ð±Ò: 1714.5
- ºì»¨: 1
- Ìû×Ó: 176
- ÔÚÏß: 80.3Сʱ
- ³æºÅ: 1385856
- ×¢²á: 2011-09-01
- רҵ: ¼ÆËãÊýѧÓë¿ÆÑ§¹¤³Ì¼ÆËã
4Â¥2011-10-17 08:40:44
yonshping
Òø³æ (СÓÐÃûÆø)
- Ó¦Öú: 1 (Ó×¶ùÔ°)
- ½ð±Ò: 77.8
- ºì»¨: 1
- Ìû×Ó: 61
- ÔÚÏß: 18.8Сʱ
- ³æºÅ: 1436083
- ×¢²á: 2011-10-10
- ÐÔ±ð: GG
- רҵ: »¯¹¤ÈÈÁ¦Ñ§ºÍ»ù´¡Êý¾Ý
¡¾´ð°¸¡¿Ó¦Öú»ØÌû
¡ï
soliton923(½ð±Ò+1): »úÆ÷Ò²ÄÜËã~~\(^o^)/~ 2011-10-17 22:14:15
soliton923(½ð±Ò+1): »úÆ÷Ò²ÄÜËã~~\(^o^)/~ 2011-10-17 22:14:15
|
>> syms n >> f= n* ( (1/n)^(1/n)-(1/(2*n))^(1/n)) f = -n*((1/(2*n))^(1/n) - (1/n)^(1/n)) >> limit(f,n,inf) ans = log(2) |

5Â¥2011-10-17 21:34:13
xutodd
Òø³æ (СÓÐÃûÆø)
- Ó¦Öú: 0 (Ó×¶ùÔ°)
- ½ð±Ò: 355.1
- ºì»¨: 1
- Ìû×Ó: 165
- ÔÚÏß: 67.3Сʱ
- ³æºÅ: 442268
- ×¢²á: 2007-10-27
- ÐÔ±ð: GG
- רҵ: ÊýѧÎïÀí
6Â¥2011-10-23 17:55:16
xutodd
Òø³æ (СÓÐÃûÆø)
- Ó¦Öú: 0 (Ó×¶ùÔ°)
- ½ð±Ò: 355.1
- ºì»¨: 1
- Ìû×Ó: 165
- ÔÚÏß: 67.3Сʱ
- ³æºÅ: 442268
- ×¢²á: 2007-10-27
- ÐÔ±ð: GG
- רҵ: ÊýѧÎïÀí
7Â¥2011-10-23 17:58:44
Pchief
Ìú¸Ëľ³æ (ÕýʽдÊÖ)
- ÊýѧEPI: 26
- Ó¦Öú: 13 (СѧÉú)
- ¹ó±ö: 0.024
- ½ð±Ò: 10800.9
- ºì»¨: 36
- Ìû×Ó: 987
- ÔÚÏß: 1992.8Сʱ
- ³æºÅ: 52235
- ×¢²á: 2004-09-04
- רҵ: ·ºº¯·ÖÎö
8Â¥2011-10-23 18:21:36













»Ø¸´´ËÂ¥